【導讀】本文主要介紹的是電容式MEMS麥克風讀出電路,在詳細分析工作原理的基礎上,詳述MEMS麥克風的優勢和具體應用。與傳統的電容式麥克風相比,電容式MEMS麥克風具有性能穩定、體積小巧、功耗低、成本低廉的優勢,以上優勢造就了電容式麥克風的應用越來越廣泛。
電容式MEMS麥克風也給設計人員提出了挑戰:1)麥克風在聲壓作用下產生的小信號幅度非常微小,要求讀出電路的噪聲極低;2)電容式MEMS麥克風的靜態電容是pF量級,讀出電路需要GΩ量級的輸入電阻才能實現極點頻率低于20Hz的高通濾波器,因此,高阻值電阻的實現是讀出電路的又一挑戰;3)電容式MEMS麥克風通常應用于電池供電的產品,因此低功耗設計也是讀出電路設計時必須考慮的約束。
基于以上考慮,在分析電容式MEMS麥克風工作原理的基礎上,提出了一種低功耗、低噪聲、高分辨率的電容式MEMS麥克風讀出電路。
1 電容式MEMS麥克風
1.1 工作原理
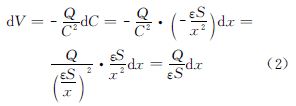
電容式MEMS麥克風的主要結構包括一個薄而有彈性的聲學振膜及一個剛性的背極板。振膜、背極板以及它們之間的空氣隙共同組成一個平行板電容器,故有:
V=Q/C,C=εS/x (1)
式中,C 為電容量,S 為極板的面積,Q 是極板間的電壓為V 時存儲的電荷量,ε是極板間介質(空氣)的介電常數,x 為兩極板間的距離。當dP 大小的聲壓變化作用于振膜時,將引起兩極板間的電壓變化:
因為dx∝dP,所以輸出電壓dV∝dP。這就是電容式MEMS麥克風的聲電轉換工作原理。
這一原理成立的條件是:在聲電轉換過程中,必需保持麥克風電容所儲電荷量Q 不變,因此需要外加一個穩定的直流電壓給電容充電,使之保持恒定的充電狀態。這一功能由電荷泵來實現。
1.2 麥克風讀出電路結構

電容式MEMS麥克風及其讀出電路組成的系統如圖1所示。

圖1 麥克風及其讀出電路結構
電荷泵為麥克風提供穩定的直流電壓,以保持麥克風電容所儲電荷量不變。在此基礎上,聲壓作用于振膜時,將引起麥克風兩極板間電壓的變化,這個音頻范圍內的電壓小信號Vmic通過麥克風電容Cmic和讀出電路的高阻值輸入電阻組成的高通濾波器讀出。
需要特別指出,背靠背的二極管有三個作用:1)提供高阻值輸入電阻,與麥克風電容一起實現低極點頻率的高通濾波器,進而實現麥克風小信號的讀出;2)為單位增益緩沖器提供直流偏置電壓;3)起靜電保護作用,在讀出電路遭受靜電襲擊時為其提供低阻直流通路。單位增益緩沖器的作用一是屏蔽麥克風與后續信號處理電路,避免兩者之間相互影響,二是提高讀出電路的驅動能力。
2 讀出電路設計
2.1 低極點頻率高通濾波器
背靠背二極管的實際電路如圖2所示。背靠背二極管可實現虛擬電阻。二極管連接的PMOS管Ma,Mb的襯底與柵極相接,這種連接方式不會產生寄生三極管,可以保證兩個二極管串始終只有一組導通(飽和導通或亞閾值導通)。在正常工作狀態下,Ma1,Ma2亞閾值導通。仿真結果表明,當節點IN與節點A之間的電壓差絕對值小于0.2V時,背靠背二極管可以實現GΩ量級的電阻,如圖3所示。

圖2 背靠背二極管的電路


圖3 背靠背二極管的電阻-電壓特性
背靠背二極管還可以為單位增益緩沖器提供直流偏置電壓。電流源Ib的電流流過電阻Rb,從而在節點A形成固定的電壓,單位增益緩沖器的輸入直流偏置也就被固定于IbRb。
背靠背二極管具有ESD保護作用,在讀出電路遭受靜電襲擊時為其提供低阻直流通路。需要注意的是,因為讀出電路對輸入阻抗要求很高,所以在設計中使用了ESD保護電路與讀出電路內部功能性電路復用的電路,這樣可以避免在設計完功能性電路后再加上ESD保護電路而對電路性能產生重大影響。
[page]
2.2 低噪聲低功耗單位增益緩沖器
較之開環運算放大器,使用單位增益緩沖器可得到比開環運放更大的輸入阻抗和更小的輸出阻抗,從而可以更好地屏蔽麥克風與后續信號處理電路,以避免兩者之間的相互影響;同時,還可以更容易地驅動后續信號處理電路。
只需將運算放大器輸出端與反相輸入端短接,即可實現單位增益緩沖器,如圖4所示。與套筒式結構相比,使用折疊結構的運算放大器最大的優點在于易于使運放的輸出與輸入短接,共模電平的選取也更加容易。

圖4 運算放大器
輸入管使用尺寸較大的PMOS管,其原因主要有兩個:一是與NMOS管相比,PMOS管的1/f噪聲更小;二是輸入管直流偏置點可以設置得更低,從而使電荷泵輸出電壓大部分降落在麥克風上。
采用不對稱的輸入管,反相輸入管尺寸更大,其優點在于可以消除輸入失調電壓的影響,提高分辨率。假如設置運放反相輸入端的直流偏壓比正相輸入端高50mV,那么,當麥克風小信號的幅值小于50mV 時,讀出電路分辨率將不受失調電壓的影響。而且,反相輸入管面積越大,閃爍噪聲越小,進而減小了單位增益緩沖器的等效輸入噪聲。
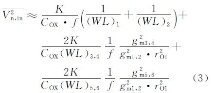
工作在飽和區的MOS管的跨導與其漏極電流的平方根成正比。但是,工作在亞閾值區的MOS管的跨導與其漏極電流成正比。所以,為了在降低噪聲和功耗的同時保持運放的開環增益,設計中采用工作在亞閾值區的輸入管。忽略運放第二級對輸入噪聲的影響,音頻范圍內二級運放的等效輸入噪聲電壓為:

(3)式主要考慮了閃爍噪聲的影響。從(3)式可以看出,增大M1~M6的尺寸可以增大M1和M2的跨導,減小M3~M6的跨導可以減小閃爍噪聲。需要說明的是,在設計低功耗的二級運放時,為了降低功耗,可以讓運放中的一些管子工作在亞閾值區,但這是以增大管子面積、降低運放速度為代價的。在電路設計過程中,往往需要考慮多方面的因素來進行折中優化設計。
3 電路仿真結果與分析
基于X-FAB 0.35 μm CMOS 工藝,使用Cadence軟件,對MEMS麥克風讀出電路進行仿真。設電荷泵輸出電壓為11V,麥克風靜態電容為1pF,設定單位增益緩沖器輸入直流電平為200mV,負載為100pF電容和100kΩ電阻的最差負載情況。
電路仿真結果顯示,電源電壓在1.2~3.6V時,讀出電路均可正常工作(當電源電壓低于1.2V時,基準電流源無法正常工作,基準電流會迅速下降并趨于0,此時,讀出電路因得不到合適的偏置而無法正常工作;當電源電壓高于3.6V時,超過了工藝耐壓的極限,極有可能對芯片造成毀滅性的損壞);讀出電路靜態電流小于60μA,在20Hz~20kHz的音頻范圍內,等效輸入噪聲為5.2μV,信號讀出效率大于83.6%(-1.56dB)。
電源電壓為1.2V時,讀出電路的幅頻響應曲線如圖5所示,低頻的極點頻率為8.6Hz。

圖5 讀出電路頻率響應
由于運放失調電壓的影響被不對稱輸入管消除,且電荷泵的等效輸出噪聲是nV量級(可以忽略不計),所以讀出電路可以處理的小信號幅度范圍是50μV~200mV。
結語
設計了一種新穎的電容式MEMS麥克風讀出電路,該電路包含低極點頻率的高通濾波器和低噪聲的單位增益緩沖器兩個部分。采用二極管連接的MOS管實現了高阻值的輸入電阻,與電容式MEMS麥克風的靜態電容一起組成低極點頻率的高通濾波器,可讀出麥克風在聲壓作用下產生的小信號。另外,采用兩種辦法來提高讀出電路的分辨率:一是運放采用不對稱輸入管來消除失調電壓的影響,二是通過增大輸入管的尺寸等方法來降低運放的輸入噪聲。在讀出電路的設計中,為了降低讀出電路的功耗,使用了工作在亞閾值區的MOS管。本文提供的讀出電路設計方案具有噪聲小、可以處理的小信號幅度范圍廣、功耗低等特點,可延長電池供電的便攜式設備的待機時間。
相關閱讀:
識別音頻和語音信源,利用MEMS麥克風定位就可搞定!
技術講解:閉環MEMS的電容式慣性傳感器設計
通透了解MEMS硅晶振,只需一篇文章即可




