【導讀】如果系統精度、效率和可靠性至關重要,設計傳感器節點 無線數據傳輸以用于遠程監控會是一個相當大的挑戰。溶 液的pH值是許多行業需要考慮的一種測量,例如農業或醫 療領域。本文的主要目的是評估pH玻璃探針的特性,從而 解決硬件和軟件設計的不同挑戰,并提出一種利用射頻收 發器模塊從探針無線傳輸數據的解決方案。
簡介
本文第一部分介紹pH探針,然后探討與前端信號調理電路相關 的各種設計挑戰,以及如何實現低成本、高精度、高可靠性的數 據轉換。為了提高數據處理的精度,討論中還會涉及校準技術, 例如一般多項式擬合,即利用最小二乘法逼近分散的預定義數 據來校準pH值。本文最后一部分提供一種無線監控系統參考電 路設計。
了解pH探針
pH值定義
水溶液可分為酸性、堿性和中性三類。在化學中,酸堿度通過一 種數值尺度來衡量,稱為pH值。依據嘉士伯基金會的定義,pH值 代表氫離子濃度。此尺度是一個對數尺度,范圍為1到14。pH值的 數學表達式為:pH = –log(H+)。因此,如果氫離子濃度為1.0 × 10–2 摩爾/升,則pH = –log(1.0 × 10–2) = 2。蒸餾水等水溶液的pH值為 7,這是一個中性值。pH值小于7的溶液為酸性溶液,大于7的溶液 為堿性溶液。對數尺度反映了一種溶液相對于另一種溶液的酸 性程度。例如,pH值為5的溶液,其酸度是pH值為6的溶液的10倍,是pH值 為8的溶液的1000倍。
pH指示器
有很多辦法可測量水溶液的pH值,包括通過石蕊試紙指示器或 使用玻璃探針。
石蕊試紙
石蕊試紙指示器通常由從地衣提取的染液制成,可用來指示pH 水平。一旦與溶液接觸,試紙就會發生化學反應,導致其顏色改 變,由此指示pH水平。這一類大體上包括兩種方法:一種是將已 知pH值對應的標準顏色與利用緩沖溶液浸入測試液體的指示器 顏色進行比對;另一種是將pH試紙先浸沒在指示器中,然后浸入 測試液體中,將其顏色與標準顏色進行比對。雖然上述兩種方法 很容易實現,但是溫度和測試溶液中的雜質很容易引起誤差。
pH玻璃探針
最常用的pH指示器是pH探針。它由一個玻璃測量電極和一個參 比電極構成。典型玻璃探針由玻璃薄膜及其中封入的鹽酸(HCl) 溶液組成。外殼內部有一根鍍AgCl的銀線,其充當參比電極并與 HCL溶液接觸。玻璃膜外部的氫離子擴散通過玻璃膜,置換相應 數量的鈉離子(Na+),多數玻璃中一般都存在鈉離子。這種正離子 很敏銳,大部分限定在玻璃表面上濃度較低的一側薄膜上。Na+ 的多余電荷在傳感器輸出端產生一個電壓。探針類似于一塊電池。當把探針置于溶液中時,測量電極產生 一個電壓,其大小取決于溶液中氫的活性,然后將該電壓與參 比電極的電位進行比較。隨著溶液酸性的增強(pH值變低),玻 璃電極電位相對于參比電極陽性增強(+mV);隨著溶液堿性的增 強(pH值變高),玻璃電極電位相對于參比電極陰性增強(-mV)。 這兩個電極之差即為測得電位。在理想情況下,典型的pH探針在 25°C下會產生59.154 mV/pH單位,通常用能斯脫方程表示如下:
其中:

E = 氫電極電壓,活性未知
a = ±30 mV,零點容差
T = 環境溫度(25°C)
n = 1(25°C),價(離子上的電荷數)
F = 96485庫侖/摩爾,法拉第常數
R = 8.314 伏特-庫侖/°K摩爾,阿伏加德羅氏數
pH = 未知溶液的氫離子濃度
pHISO = 7,參比氫離子濃度
方程表明,產生的電壓取決于溶液的酸度和堿度,并以已知方式 隨氫離子活性而變化。溶液溫度的變化會改變其氫離子的活性。 當溶液被加熱時,氫離子運動速度加快,結果導致兩個電極間電 位差的增加。另外,當溶液冷卻時,氫活性降低,導致電位差下 降。根據設計,在理想情況下,當置于pH值為7的緩沖溶液中時, 電極會產生零伏特電位。
典型pH探針的規格如下表所示。
表1. pH玻璃探針的典型規格

pH探針在本研究中起著重要作用,因為數據可靠性取決于傳感 器的精度和可靠性。選擇pH探針時,有兩個重要因素需要考慮: 緩沖溶液溫度改變之后的穩定時間及其pH值改變之后的穩定時 間。作為例子,下面的數據摘自Jenway的應用筆記“Jenway高性能 pH電極評估”1 ,顯示了探針在給定測試條件下發生溫度變化后 的穩定性能。制備一種溶液,其緩沖液在20°C時的pH值為7,在 60°C時的pH值為4。讓各電極在以200 rpm轉速攪拌的pH 7緩沖液 中穩定。然后用去離子水清洗電極,并將其轉移到pH 4緩沖液的 等分試樣中放置4分鐘。再次用去離子水清洗電極,然后將其放 回到pH 7緩沖液中。評估讀數持續10秒保持穩定所需的時間。對 每個探針重復測試三次。
表2. 緩沖溶液溫度改變之后的穩定時間

表3. 緩沖溶液pH值改變之后的穩定時間

在所示給定條件下,Jenway探針的性能與通用pH探針相比,響應 時間要快最多50%。使用類似這樣的儀表會非常有利,因為其樣 本吞吐速率很高,分析數據所需的時間會大大縮短。
傳感器模擬信號調理電路
為了理解信號調理電路,必須知道傳感器探針的等效電路圖。 如上一節所述,pH探針由玻璃制成,可形成極高的電阻,范圍從1 MΩ到1 GΩ不等,充當與pH電壓源串聯的電阻,如圖1所示。

圖1. pH探針等效電路配置
即使非常小的電路電流流經電路中各器件的高電阻(尤其是測 量電極的玻璃膜),這些電阻上也會產生相對較大的壓降,嚴 重降低儀表測得的電壓。更糟糕的是,測量電極產生的電壓差 非常小,處于毫伏范圍(理想情況下,室溫時每pH單位對應59.16 mV)。用于此任務的儀表必須非常靈敏,并且有超高輸入電阻。
模數轉換
對于此類應用,給定傳感器的響應時間時,數據采樣速率將是一 個問題。假設傳感器分辨率為0.001 V rms,ADC滿量程電壓范圍為 1 V,則實現9.96位的有效分辨率無需高分辨率ADC。無噪聲分辨 率單位為位,用下式定義:無噪聲分辨率 = log2 [滿量程輸入電壓 范圍/傳感器峰峰值電壓輸出噪聲]。ADC采樣速率對低功耗應用 可能是一個重要因素,因為ADC的采樣速率與功耗直接相關。在 傳感器的響應時間一定時,典型ADC采樣速率可設置為其最低吞 吐速率??刹捎眉葾DC的微控制器以減少器件數量。
收發器
傳輸pH和溫度數據需要收發器,控制收發器需要微控制器。收 發器和微控制器的選擇涉及到一些重要考量。
選擇收發器必須考慮如下因素:
● 工作頻率
● 最大距離范圍
● 數據速率
● 許可
工作頻率
設計RF傳輸必須確定工作頻率(OF),sub-GHz或2.4 GHz頻率能否滿 足應用要求。在需要高數據速率和使用藍牙等寬帶寬的應用中, 2.4 GHz頻率是最佳選擇。但工業應用通常使用sub-GHz頻率,因 為可用的專有協議能方便地提供網絡鏈路層。專有系統主要使用 sub-GHz范圍內的ISM頻率,即433 MHz、868 MHz和915 MHz。
最大距離范圍
Sub-1 GHz頻率支持25 km以上的長距離、大功率傳輸。當用于點對 點或星形拓撲時,這些頻率可有效穿透墻壁和其他障礙物。
數據速率
數據速率也需要確定,它會影響收發器的傳輸距離能力和功耗。 數據速率較高時,功耗較低,可以用于短距離傳輸;而數據速率 較低時,功耗較高,可以用于長距離傳輸。要降低功耗,提高數 據速率是一個好辦法,因為它只在很短的時間內以突發方式消耗 電流,但這樣做也會縮短無線電覆蓋距離。
收發器功耗
收發器功耗對電池供電應用非常重要。這在許多無線應用中也是 一個考慮因素,因為它決定了數據速率和距離范圍。收發器有兩 個功率放大器(PA)選項以提供更大的使用靈活性。單端PA可以輸 出最多13 dBm的RF功率,差分PA可以輸出最多10 dBm的功率。表 4總結了一些PA輸出功率與收發器IDD電流消耗的關系。為完整起 見,表中同時給出了接收模式的電流消耗。
表4. PA輸出功率與收發器IDD電流消耗小結

許可
Sub-GHz包括433 MHz、868 MHz和915 MHz的免許可ISM頻段。它廣 泛用于工業中,非常適合各種無線應用。它可以用在世界上的不 同地區,因為它符合歐洲ETSI EN300-220法規、北美FCC Part 15法 規及其他類似監管標準。
微控制器
如圖2所示,RF系統的核心是一個處理器單元或微控制器(MCU), 其處理數據并運行與收發器(用于RF傳輸)和pH參考設計(RD)板 (用于傳感器測量)接口的軟件堆棧。

圖2. 無線傳感器數據采集和傳輸框圖
選擇微控制器必須考慮如下因素:
● 外設
● 存儲器
● 處理能力
● 功耗
外設
微控制器應集成SPI總線之類的外設。收發器和pH參考設計板均 通過SPI連接,因此需要兩個SPI外設。
存儲器
借助適當大小的存儲器,微控制器執行協議處理和傳感器接口 任務。Flash和RAM是微控制器的兩個極重要組成部分。為確保系 統不會用盡存儲空間,使用128 kB內存。這必定會讓應用和軟件 算法流暢運行,并且為可能的升級和功能增加(以便消除系統問 題)留有余地。
架構和處理能力
微處理器必須足夠快,以便處理復雜的計算和流程。該系統使用 32位微處理器。雖然位數較低的處理器可能也可行,但本系統選 擇使用32位以支持潛在更高的應用和算法需求。
微處理器功耗
微處理器的功耗應非常低。對于那些依賴電池供電且必須在無 維保的情況下運行數年的應用,功耗至關重要。
其他系統考量
差錯校驗
通信處理器在發射模式下將CRC附加于有效載荷,在接收模式下 檢測CRC。有效載荷數據加上16位CRC可以利用曼徹斯特編碼技 術進行編碼/解碼。
成本
系統應當使用最少的器件和最小的板尺寸,因為當成本是關鍵 要求之一時,這些常常是決定性因素。不要使用分立器件,必須 考慮由MCU和無線器件組成的集成解決方案。這樣可消除無線 電和MCU之間互連的設計難題,簡化電路板設計,使設計流程更 直接了當,并縮短焊線,使其更不易受干擾影響。利用集 ARM® Cortex®-M MCU和無線電收發器于一體的單個芯片,可以減少電路 板器件數量,簡化電路板布局布線,降低總成本。
校準
執行校準例程是實現高精度的關鍵環節之一。能斯脫方程所描 述的pH溶液的一個特征是其高度依賴于溫度。傳感器探針僅給 出一個恒定的失調,可認為該失調在所有溫度水平都是恒定的。 由于其高度依賴于溫度,本系統必須有一個確定溶液溫度的傳 感器。
可以使用直接代入能斯脫方程之類的方法,但由于溶液的非理想 特性,可能會產生某種程度的誤差。這種方法僅需測量系統的失 調和未知溶液的溫度。為確定該傳感器引入的失調,需要一種pH 值為7的緩沖溶液。理想情況下,傳感器應產生0 V輸出。ADC讀數 將是系統失調電壓。典型pH探針傳感器的失調可能高達±30 mV。
實踐中常常使用另一種方法,即利用多種緩沖溶液來設置一些點 以構建一般的線性或非線性方程。在此例程中,需要兩種經NIST 認證并可追溯的額外pH緩沖溶液。這兩種額外緩沖溶液的pH值 至少應相差2。
通過緩沖溶液執行校準的方法如下:
● 第1步:從第一種緩沖溶液中移出電極組件并用去離子水或 蒸餾水清洗之后,將帶溫度傳感器的pH探針浸入所選的第 二種緩沖溶液中。
● 第2步:重復第2步,但使用第三種緩沖溶液。
● 第3步:根據利用所選緩沖溶液測得的值建立方程。
可利用多個數學方程導出校準方程。常用公式之一是點斜式直線 方程。此方程使用校準期間獲得的兩點:P1 (Vm1, pH1)和P2 (Vm2, pH2),其中P1和P2是利用所選緩沖溶液測得的點。為了確定未知 溶液的pH值,對于給定點Px (Vmx, pHx),可以利用方程進行簡單的 線性插值:

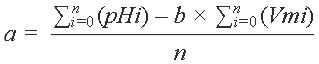
若有多組點,為提高精度,可使用一階線性回歸。給定n個數據 P0 (Vm0, pH0), P1 (Vm1, pH1), P2 (Vm2, pH2), P3 (Vm3, pH3), ... , Pn (Vmn, pHn), 可以利用最小二乘法建立一般方程, pHx = a + b × Vmx, 其中b為直線的斜率,a為截距,其值如下:

以及

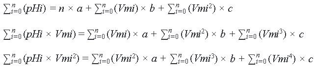
最小二乘逼近法可擴展到更高階,例如二階非線性方程。一般二 階方程可以表示為:pHx = a + b × Vmx + c × Vmx2。a、b和c的值可 計算如下:

這個方程組可通過代入、消元或矩陣方法來求解,從而獲得未知 變量a、b、c的值。
硬件設計解決方案
緩沖放大器
在此給定條件下,為使電路與該高源電阻隔離開來,需要一個高 輸入阻抗、超低輸入偏置電流的緩沖放大器。低噪聲運算放大器 AD8603可用作該應用的緩沖放大器。AD8603的低輸入電流可以 最大限度地減少流過電極電阻的偏置電流所產生的電壓誤差。 就25°C下串聯電阻為1 GΩ的pH探針來說,對于200 fA典型輸入偏 置電流,失調誤差為0.2 mV (0.0037 pH)。即使在1 pA的最大輸入偏 置電流下,誤差也只有1 mV。雖然不一定需要,但可以利用防護、 屏蔽、高絕緣電阻支柱以及其他此類標準皮安方法來最大限度 地減少所選緩沖器高阻抗輸入端的泄漏。
模數轉換器
低功耗ADC適合這種應用。16位Σ-Δ型ADC AD7792支持精密測量應 用。它有一個低噪聲3通道輸入,當更新速率為4.17 Hz時,噪聲僅 有40 nV rms。該器件采用2.7 V至5.25 V電源供電,典型功耗為400 μA,采用16引腳TSSOP封裝。其他特性包括4 ppm/°C溫漂(典型 值)的內置帶隙基準電壓源、最大1 μA的關斷功耗以及內置時鐘 振動器,因此所需器件數量和PCB空間得以減少。
選擇RF收發器
基于前述要求, ADuCRF101最適合這種應用。
ADuCRF101是一款針對低功耗無線應用而設計的完全集成式數據 采集解決方案,工作頻率范圍為431 MHz至464 MHz和862 MHz至 928 MHz。它集成了通信外設,例如應用所需的兩條SPI總線。片內 提供128 kB非易失性Flash/EE存儲器和16 kB SRAM。它是集成微控 制器和收發器的單芯片解決方案,這使得器件數量和電路板尺 寸減至最小。
ADuCRF101直接采用2.2 V至3.3 V電壓范圍的電池供電,功耗如下:
● 280 nA(關斷模式,非保留狀態)
● 1.9 μA(關斷模式,處理器存儲器和RF收發器存儲器保留)
● 210 μA/MHz(Cortex-M3處理器處于激活模式)
● 12.8 mA(RF收發器處于接收模式,Cortex-M3處理器處于關 斷模式)
● 9 mA至32 mA(RF收發器處于發射模式,Cortex-M3處理器處 于關斷模式)
軟件實現
軟件是無線傳輸系統的關鍵部分之一。它決定了系統如何工作, 對系統功耗也有影響。該系統有兩個軟件部分,分別是協議堆棧 和應用程序堆棧。使用的協議堆棧為ADRadioNet—一種用于ISM 頻段的無線網絡協議。它采用IPv6地址,集合了此類解決方案需 要的大部分特性,例如低功耗、多跳、端對端應答、自愈等。應用 程序堆棧是一個通過SPI訪問pH參考設計板的軟件。
為了高效運行這兩個軟件堆棧,使用了一個簡單的調度程序。一 個非搶占式調度程序處理協議堆棧任務,為其功能分配一定的時 間和資源。然而,系統中定義的任務數量是有限的。為了高效工 作,非搶占式調度程序必須在其時間消逝之前完成已定義任務的 執行。對于系統中的兩個堆棧,非搶占式調度程序正合適,因為 分配給它的已定義任務數量是有限的。
結語
本文介紹了pH無線傳感器監控設計方面的不同挑戰和解決方 案。已經證明,ADI數據采集產品可用來應對pH測量的各種挑戰。 AD8603運算放大器或任何具有高輸入阻抗的同等ADI放大器,可 用來抵消傳感器的高輸出阻抗,從而提供足夠的屏蔽,防止系統 加載。ADuCRF101數據采集系統IC可提供完整的RF數據傳輸解決 方案。數據采集的高精度既可利用精密放大器和ADC硬件實現, 也可通過軟件校準實現,即利用數學統計建立一個一般方程,例 如各種曲線擬合法。
參考電路
1 Jenway應用筆記,Jenway高性能pH電極評估。Jenway。 Jenway.
推薦閱讀:




