【導讀】生物組織的電特性按照電信號來源可分為主動和被動兩類。如果生物組織的電流由細胞內部的離子產生,我們稱之為主動響應。這些電信號稱為生物電位,最為人所熟知的例子就是心電圖和腦電圖信號。如果生物組織對外部電刺激(例如電流或電壓發生器)做出響應,則該響應為被動的。在這種情況下,我們需要考慮生物電阻抗。
生物電阻抗分析
生物電阻抗分析是一種用來測量人體組成和評估臨床狀況的低成本、非侵入技術。生物阻抗是一個由電阻值R(實數部分)和電抗值Xc(虛數部分)組成的復數,前者主要由人體內的水分總量所致,后者主要是由細胞膜產生的電容所致。該阻抗也可以用模為| Z |、相位角為φ的矢量來表示。相位角在確定人體組成方面起主要作用。
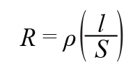
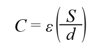
(3)橫截面積為S、長度為l的導體的電阻R,以及表面積為S、距離為d的平行板電容的容值C由以下公式給出:
(4)
(5)從公式4和公式5中可以看出,電阻和電容取決于幾何參數(長度、距離和表面積),這意味著它們與采用的測量系統和物理參數有關;也就是說,電阻率ρ和介電常數ε與待測材料的類型(在本示例中為生物組織)密切相關。圖1顯示了一個生物阻抗及其測量儀器的電特性簡化模型。RE考慮的是細胞外液的電阻,RI代表細胞內液的電阻,Cm是細胞膜的電容。儀器與人體之間的連接通過置于皮膚上的電極實現。儀器向電極提供激勵電壓并測量產生的電流。激勵信號通過連接到后端驅動器的數模轉換器(DAC)產生。通過微控制器對DAC進行編程,從而可設置信號幅度和頻率。對于電流測量,則采用跨阻放大器(TIA),將其連接到高分辨率模數轉換器(ADC)以實現精確測量。使用系統微控制器處理采集到的數據,從中提取分析所需的信息。

圖1.生物阻抗測量系統框圖。
在生物阻抗測量中,將人體分為五個部分:兩個上肢、兩個下肢和軀干。這樣區分對于理解所使用的測量方法很重要。最常見的是手到腳、腳到腳和手到手。
在生物電阻抗分析(BIA)測試過程中,需要考慮多個因素,包括人體測量參數;即身高、體重、皮膚厚度和體型。其他因素包括性別、年齡、族群以及(尤其是)患者的健康狀況;即任何營養不良或脫水。如果不考慮這些因素,測試結果可能會失真。根據統計數據和考慮了上述各種因素的公式來解讀測量結果。
人體組成
在研究人體組成時,我們引用三室模型,其中包括:
● 脂肪體質量
● 細胞質量
● 細胞外質量
圖2從眾所周知的二室模型瘦體質量(去脂體質量)和脂肪體質量開始,解釋說明了這些概念。脂肪體質量有兩個組成部分,即必需脂肪和儲存脂肪。瘦體質量分為人體細胞質量(由蛋白質質量和細胞內水分組成)和細胞外質量(由細胞外水分和骨質量組成)。最后一個參數是確定含水量的基礎,是由細胞內和細胞外水分的總和得到的人體水分總量。
從電特性角度來看,細胞內和細胞外電解溶液的行為就像是良導體,而脂肪和骨骼組織則是不良導體。

圖2.人體組成
生物阻抗測量技術
運用廣泛的各種生物阻抗測量技術在使用激勵信號的頻率方面有所不同。最簡單的儀器是基于固定頻率測量(單頻生物電阻抗分析或SF-BIA),有些儀器采用多頻率系統(多頻生物電阻抗分析或MF-BIA),而最復雜的儀器則在一定頻率范圍內執行實際頻譜測量(生物阻抗頻譜或BIS)。評估結果的技術也有很多種,其中最重要的是生物電阻抗矢量分析和實時分析。
在SF-BIA儀器中,注入人體的電流頻率為50 kHz;這是基于所測得的阻抗與人體水分總量(TBW)(阻抗的導電性部分)之間成反比關系,而人體水分總量由細胞內水分(ICW)和細胞外水分(ECW)組成。這項技術針對含水量正常的測試對象可以提供良好的結果,而對于含水量發生了劇烈改變的測試對象,由于該技術評估ICW變化的能力有限,因此會喪失其有效性。
MF-BIA技術通過在低頻和高頻下執行測量來克服SF-BIA的局限性。低頻測量允許對ECW進行更準確的估算,而在高頻下則可獲得TBW的估值。由兩個估值的差得出ICW。然而,該技術也并非十全十美,它在對患有疾病的老年人群進行體液估算時顯示出局限性。
最后,BIS基于阻抗測量,根據圖1的模型,該阻抗在零頻率下是由細胞外液產生的電阻RE,而在無窮大頻率下則是RE與RI的并聯。在這兩個極端頻率下,由細胞膜產生的電容表現為開路或短路。中頻測量提供與電容值有關的信息。BIS相比其他技術可提供更多的詳細信息,但是在這種情況下,測量需要更長的時間。
生物阻抗矢量分析(生物電阻抗矢量分析或BIVA)是一種基于生物阻抗絕對值測量的人體健康評估技術。它使用一個圖形來顯示阻抗的矢量表示,其中橫坐標軸顯示電阻值,而縱坐標軸顯示容性阻抗值,這兩個值均按照患者的身高設定了基準。該方法基于3個公差橢圓的公式:50%、75%和95%。50%的公差橢圓定義了具有人體組成平均值的人群。沿著橢圓的水平軸移動,在右側可識別出瘦體質量百分比較低的個體,反之亦然;也就是說,在左側識別出的是瘦體質量百分比較高的個體。沿著垂直軸移動可確定含水量,趨向橢圓上半部分代表低于標準水平,而橢圓的下半部分則高于標準水平。

圖3.生物電阻抗矢量-分析公差橢圓。
觀察人體組成的波動(例如,與瘦體質量、脂肪體質量和人體水分總量正常值的偏差)是確定患者健康狀況的關鍵因素。瘦體質量明顯減少和體液失衡都是診斷疾病時使用的主要參數。當前,生物電阻抗分析已用于診斷以下人體系統疾病:
● 肺系統
■肺癌
■肺水腫
● 心血管系統
■術后積液
● 循環系統
■血管內容積
■低鈉血癥
■水合作用
● 腎臟系統
■血液透析
■評估干重
?神經系統
■阿爾茨海默氏病
■神經性厭食癥
● 肌肉系統
■訓練期間身體組成的變化
● 免疫系統
■艾滋病病毒感染者評估
■癌癥患者評估
■登革熱
AD5940,一款靈活的高精度模擬前端
ADI公司具有廣泛的阻抗分析產品組合,包括ADuCM35x等器件,ADuCM35x是專為阻抗頻譜設計的高度集成的片內系統(SoC)。最近投放市場的AD5940是一款高精度、低功耗模擬前端,非常適合便攜式應用。AD5940專為測量生物阻抗和皮膚電導率而設計,由兩個激勵環路和一個通用測量通道組成。第一激勵環路能夠產生最大頻率為200 Hz的信號,并且可以配置為恒電勢器,用于測量不同類型的電化學電池。其基本組件包括一個雙輸出DAC、一個可提供激勵信號的精密放大器以及一個用于測量電流的跨阻放大器。該環路在低頻率下工作,功耗低,因此也稱為低功耗環路。第二個激勵環路具有類似的配置,但能夠處理最高200 kHz的信號,因此稱之為高速環路。該器件配備了一個采集通道,內置一個16位、800 kSPS SAR型ADC和轉換器模擬信號處理鏈前端,其中包括一個緩沖器、一個可編程增益放大器(PGA)和一個可編程抗混疊濾波器。為了完善該架構,采用了一個開關矩陣復用器,它允許將來自多個器件內部或外部信號源的多個信號連接到ADC。這樣,除了主要的阻抗測量功能外,還可以執行準確的系統診斷以驗證儀器的全部功能。
圖4顯示了采用四線配置將AD5940用于人體絕對阻抗測量的連接方式。對于這種類型的測量,使用高頻環路;可編程交流電壓發生器提供激勵信號。第二個發生器可提供共模電壓,以實現正確測量。通過跨阻放大器測量由人體阻抗產生的電流,并采用16位ADC進行轉換。該系統能夠在最高200 kHz的頻率下進行測量,在50 kHz下可提供100 dB的信噪比(SNR)。將數字數據發送到硬件加速器以提取所需數值;即阻抗的實數部分和虛數部分。
作為醫療設備,生物阻抗分析儀必須符合IEC 60601標準。該標準設定了可施加于人體的電壓和電流限值。為此,這款器件提供了一個電阻Rlimit來限制最大電流,并提供了四個耦合電容CisoX,以防止將直流分量施加于人體上。

圖4.AD5940用于生物電阻抗分析的四線連接。
結論
生物阻抗測量是一種快速無創評估人體組成和診斷某些類型疾病的低成本通用方法。由于使用AD5940等器件,當前的技術可以實現緊湊、高性能、低功耗的生物阻抗分析儀,并且該分析儀可以使用電池供電。AD5940的高集成度、小尺寸和低功耗特性也使其特別適合可穿戴應用。
作者簡介
Cosimo Carriero于2006年加入ADI公司,擔任現場應用工程師,為戰略和關鍵客戶提供技術支持。他擁有意大利米蘭Università degli Studi的物理學碩士學位。他過去的經歷包括:在意大利核物理研究所(INFN)定義和開發核物理實驗儀器,與小公司合作開發工廠自動化傳感器和系統,以及在Thales Alenia Space擔任衛星電源管理系統高級設計工程師。聯系方式:cosimo.carriero@analog.com。
推薦閱讀:



