【導讀】運算放大器(op amp)是一種模擬電路模塊,它采用差分電壓輸入,產生單端電壓輸出。運算放大器通常有三個端子:兩個高阻抗輸入端子和一個低阻抗輸出端子。反相輸入用負號(-)表示,同相輸入用正號(+)表示。運算放大器的作用是放大輸入之間的電壓差,這對于信號鏈、電源和控制應用等各種模擬功能非常有用。
運算放大器是什么?
運算放大器(op amp)是一種模擬電路模塊,它采用差分電壓輸入,產生單端電壓輸出。
運算放大器通常有三個端子:兩個高阻抗輸入端子和一個低阻抗輸出端子。反相輸入用負號(-)表示,同相輸入用正號(+)表示。運算放大器的作用是放大輸入之間的電壓差,這對于信號鏈、電源和控制應用等各種模擬功能非常有用。
運算放大器的分類
有四種方法可以對運算放大器進行分類:
● 吸收電壓并在輸出端產生電壓的電壓放大器。
● 接收電流輸入并產生電流輸出的電流放大器。
● 將電壓輸入轉換為電流輸出的跨導放大器。
● 將電流輸入轉換為電壓輸出的跨阻放大器。
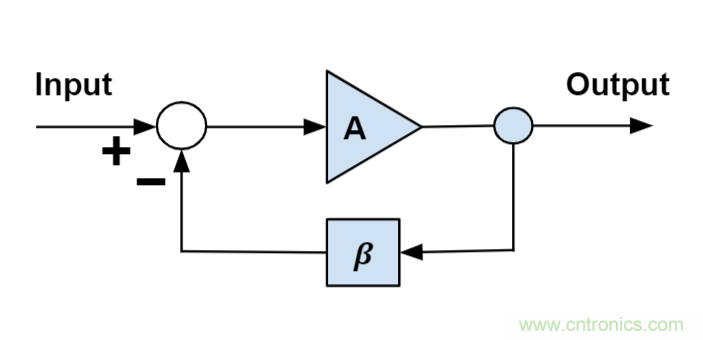
大多數運算放大器都用于電壓放大,因此本文將重點介紹電壓放大器。 運算放大器:關鍵特性和參數 運算放大器有很多重要特性和參數(見圖1),下面將做詳細描述。

圖1:運算放大器原理圖
開環增益
開環增益:運算放大器的開環增益中的(圖1中的“A” ) 是電路無反饋時所測得的增益。開環意味著反饋路徑即反饋環路開路。開環增益通常必須非常大(10,000+)才能發揮作用,但電壓比較器除外。
電壓比較器比較輸入端子之間的電壓。輸入端子之間很小的電壓差,都可引起輸出正負電壓軌的翻轉。高開環增益在閉環配置中非常有用,因為它們可以在整個溫度、工藝和信號變化范圍內實現穩定的電路性能。
輸入阻抗
運算放大器的另一個重要特性是它們通常具有高輸入阻抗 (圖1中的“ZIN”). 輸入阻抗在正負輸入端子之間測得,理想情況下,輸入阻抗無窮大,使源負載盡可能小(實際上輸入端會有很小的漏電流)。在運算放大器周圍布放電路可能會明顯改變電源的有效輸入阻抗,因此必須謹慎配置外部組件和反饋環路。還有一點也很重要,輸入阻抗不僅僅由輸入直流電阻決定,輸入電容也會影響電路性能,必須考慮到這一點。
輸出阻抗
理想情況下,運算放大器的輸出阻抗為零 (圖一中的“ZOUT”)。但實際上輸出阻抗通常具有較小的值,這決定了它的電流驅動和電壓緩沖能力。
頻率響應和帶寬(BW)
理想的運算放大器具有無窮大的帶寬(BW),并且無論信號頻率如何變化,都能保持高增益。但實際上所有運算放大器都具有有限的帶寬,通常稱為“ -3dB”帶寬,超過該帶寬,放大器的增益以-20dB / decade的速率隨頻率增加而下降。具有較高帶寬的運算放大器性能也更優,因為它們在較高的頻率下仍可保持較高增益,但較高的增益也會導致更大功耗或更高的成本。

圖2:運算放大器的開環頻率響應曲線
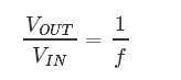
增益帶寬積(GBP)
顧名思義,GBP是放大器增益和帶寬的乘積。GBP是整個曲線上的常數,可以通過公式(1)來計算:
GBP是在運算放大器的增益達到單位增益的頻率點測得。用戶可以用它來計算不同頻率下設備的開環增益。GBP通常用于衡量一個運放是否有用并衡量其性能,因為具有較高GBP的運算放大器可在較高頻率下提供更佳性能。
這些都是在設計中選擇運算放大器時要考慮的主要參數,但根據應用和性能需求,還有許多其他參數也會影響設計選擇,如輸入失調電壓、噪聲、靜態電流和電源電壓等。
負反饋和閉環增益
在運算放大器中,負反饋是通過將一部分輸出信號通過外部反饋電阻器饋送回反相輸入端來實現的 (見圖3)。

圖3:反相運算放大器的負反饋
負反饋用于穩定增益。通過使用負反饋,閉環增益可以通過外部反饋組件來確定,它比通過運算放大器內部組件確定增益具有更高的精度。因為內部運算放大器組件可能由于工藝變化、溫度變化、電壓變化和其他因素而差異很大。閉環增益可通過公式(2)來計算:

運算放大器:優點和局限性
使用運算放大器有很多好處。它通常以IC的形式出現,很容易購買,有無數種可選的性能規格,可以滿足所有應用需求。它用途廣泛,是許多模擬應用(包括濾波器設計、電壓緩沖器,比較器電路及許多其他應用)的關鍵組成部分。此外,大多數公司都提供仿真支持,例如PSPICE模型,可以供設計人員在構建實際設計之前驗證其運算放大器的設計。
其局限性在于它們是模擬電路,它要求設計人員了解模擬基本原理,如負載、頻率響應和穩定性等。設計一個看似簡單的運放電路,最后卻出現振蕩,這種情況并不少見。設計人員必須了解前文討論的這些關鍵參數,了解它們如何影響設計,這也通常意味著設計人員必須具備中上水平的模擬設計經驗。
運算放大器配置拓撲
運算放大器有多種不同的電路拓撲,各具不同的功能。最常見的拓撲描述如下。
電壓跟隨器
最基本的運算放大器電路是電壓跟隨器(參見圖4)。這種電路通常不需要外部組件,它提供高輸入阻抗和低輸出阻抗,因此是很有用的緩沖器。其輸入和輸出電壓相等,輸入變化會產生等效的輸出電壓變化。


圖4: 電壓跟隨器
電子設備中最常用的運算放大器是電壓放大器,它可以增加輸出電壓的幅度。反相配置和同相配置是兩種最常見的放大器配置。這兩種拓撲都為閉環,這意味著輸出端有反饋返回到輸入端子,因此電壓增益由兩個電阻的比率設定。
反相運算放大器
在反相運算放大器中,正輸入端通常接地,負輸入端子被強制等于正輸入端。其輸入電流由VIN / R1之比決定 (見圖5)。

圖5: 反相運算放大器
在這種配置中,相同的電流通過R2流至輸出。理想情況下,由于其高ZIN,電流不會流入運算放大器的負端子。通過R2流經負端子的電流產生相對于VIN的反相電壓極性。 這就是為什么這種運算放大器被稱為反相配置的原因。請注意,運算放大器的輸出只能在其正電源和負電源之間擺動,因此要產生負輸出電壓,就需要一個具有負電源軌的運算放大器。 VOUT可用 公式(3)來計算:

同相運算放大器
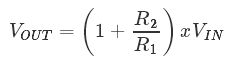
在同相放大器電路中,來自電源的輸入信號連接到同相(+)端子(請參見圖6)。

圖6: 同相運算放大器
運算放大器迫使反相(-)端子電壓等于輸入電壓,從而產生流經反饋電阻的電流。輸出電壓始終與輸入電壓同相,這就是為什么將此拓撲稱為同相的原因。請注意,對于同相放大器,電壓增益始終大于1,而對于反相配置,則并非總是如此。 VOUT可用 公式(4)來計算::

電壓比較器
運算放大器電壓比較器可以比較電壓輸入,并將輸出驅動到輸入較高的電源軌上。由于沒有反饋,這種配置被認為是開環操作。電壓比較器的優勢是運行速度比上述閉環拓撲快很多(見圖7)。

圖7: 電壓比較器
如何選擇適合應用的運算放大器
以下內容介紹如何選擇運算放大器才能適合您的應用。
首先, 選擇一個可以滿足您需要的工作電壓范圍的運算放大器。通過查看放大器的電源電壓可以獲得此信息。電源電壓可能為VDD(+)和地(單電源),也可能放大器同時支持正電源和負電源。如果輸出需要支持負電壓,則需要負電源。
其次,考慮放大器的GBP。如果您的應用需要支持較高頻率,或需要較高性能和較低失真,則考慮使用具有較高GBP的運算放大器。
功耗是另一個需要考慮的因素,因為某些應用可能需要低功耗操作。通常在器件的數據手冊中可以找到建議的功率要求,通常列為電源電流和功耗。功耗也可以根據電源電流和電源電壓的乘積來估算。通常,具有較低電源電流的運算放大器具有較低的GBP,當然電路性能也較差。 對于要求較高精度的應用,設計人員應特別注意放大器的輸入失調電壓,因為該電壓會導致放大器的輸出電壓失調。
總結
運算放大器在許多模擬和電源應用中都被廣泛使用。其好處在于,它很常見、文檔和技術支持都很成熟,而且非常容易使用和實現。它可用于多種應用,例如電壓緩沖器、創建模擬濾波器和閾值檢測器。深入了解運算放大器相關關鍵參數和通用拓撲,可以幫助您在電路中成功應用它。
免責聲明:本文為轉載文章,轉載此文目的在于傳遞更多信息,版權歸原作者所有。本文所用視頻、圖片、文字如涉及作品版權問題,請聯系小編進行處理。
推薦閱讀:




