【導讀】薄膜電阻在使用過程中,隨著工作時間的增加,電阻的阻值會發生飄移,進而對整個電路系統的性能造成影響。為了能夠確定電子產品在整個生命周期中的公差,有時希望對“最壞情況下” 薄膜電阻阻值的飄移變化程度有一個準確的估算。我們今天就為大家分享一個快速而準確的計算方法。
如何根據薄膜的運行時間,來計算或估算最壞情形下薄膜電阻值的飄移變化?
可以使用阿倫尼烏斯方程(Arrhenius equation)來估算電阻器的漂移(老化)。例如,你可以在 Vishay 的 TNPW e3 數據表的第 2 頁上,找到“額定耗散下的最大電阻變化”表。

如上圖所示,阻值的最大改變百分比會因不同的工作模式而變化。
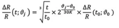
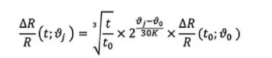
使用下面給出的阿倫尼烏斯方程式,客戶可以根據數據表中所示的指定電阻變化來估算電阻漂移:

我們舉一個例子來說明————假設在應用中運行了 15,000 小時,則可以按如下所述估算漂移:

數據表中的參數(標準工作模式)如下所示————要求在 P70 下運行 15,000 小時,因此在 70°C 的環境溫度下為滿負荷:

對于電阻值漂移的估算如下:

如果客戶希望采用最壞情況下的阻值變化率來計算終端產品的生命周期公差,則可以將其設計中可能發生的所有變化相加在一起——即使實際的電阻變化可能較低。
免責聲明:本文為轉載文章,轉載此文目的在于傳遞更多信息,版權歸原作者所有。本文所用視頻、圖片、文字如涉及作品版權問題,請聯系小編進行處理。
推薦閱讀:



