【導讀】人們普遍認為,使用雙極結型晶體管(BJT)電流源可以對雙極結型晶體管差分放大器進行溫度補償,但事實并非如此。對I0進行溫度補償得到常數re,會導致電流源外部發射極電阻R0上的電壓低,從而無法精確設置I0。本設計實例分析了BJT差分放大器的發射極電路電流源I0,及其不同實現方式對放大器增益的影響。
雙極結型晶體管(BJT)對發射極耦合差分放大器電路是模擬設計人員熟悉的放大器級,但其復雜性也頗有意思。本文探討了BJT差分放大器的發射極電路電流I0及其不同實現方式對放大器增益的影響。
人們普遍認為BJT電流源可以對BJT差分放大器進行溫度補償這一結論是正確的,但似乎并不知道其成立條件。典型電路如圖1所示。

圖1:差分輸入差分輸出電壓放大器。
這是一款差分輸入差分輸出電壓放大器。在輸入和輸出量差分的情況下,電路的增量電壓增益為:

差分放大的條件是Aν1 = Aν2。當電路滿足如下等式時,它是對稱的:
然后電壓增益變成:

其中rM是互阻,輸入電壓產生(pre-α)的輸出電流流經該電阻。
好的設計目標是使Aν成為固定值。其中一個影響因素是選擇具有低溫度系數(TC)和足夠精確的電阻器,這通常很容易實現。但對于高精度設計,由環境溫度變化引起的阻值變化是需要考慮的因素。尤其還要考慮“熱效應”,即由隨νi一起變化的功耗變化引起的動態的、與波形相關的阻值變化。對于非常精確的設計,也必須考慮與施加電壓相關的阻值變化。
在精確設計中,除這里使用的兩個(re和β)BJT T模型參數之外,其它晶體管參數,即ro,也需要考慮在內。我們假設BJT具有足夠高的厄利電壓(Early voltage),因而不需要考慮ro——至少在這里不考慮。在實踐中,這個假設通常是有效的。
BJT通常是電路中最不理想的元件。從增益公式可以看出,增量發射極電阻re和β這兩個BJT參數影響增益。對于高β值——也即β>> 1,增益因子接近1:

對于典型β值200,α = 0.995,造成0.5%的增益誤差。如果差太大,則需要α補償技術。通常,該誤差可以通過將其包含在增益公式中來彌補,正如我們所做的。更重要的是其溫漂的大小。典型值為:
那么對于大的β,α的TC約為50 ppm;α通常不是大問題。
Av的互阻表達式rM(分母)是輸入電壓產生輸入和輸出回路共有的(發射極)電流的電阻。輸出電流被α修改,導致發射器的電流通路的損耗。該互阻rM也包括以RB表示的β。如果RB保持為小數值,且輸入由電壓源驅動,則不必考慮β。如果源的阻值高,那么RB項會因β隨溫度變化而影響增益。其1 %/℃ 的變化要縮小到RB/(β + 1)在rM中不占主導的程度。保持RB為小數值是另一個設計考慮因數。
在rM中最麻煩的一項是re,因為它隨著溫度和發射極電流IE而變化,根據:

在IE恒定的情況下,re隨熱電壓VT變化,而VT與絕對溫度成比例變化。

在300K(約80℉)時,該值為1/300 K或約0.33 %/K = 0.33 %/℃。對于實驗室品質的儀器設計,我們假設一個溫度范圍超過25℃ +/- 15℃,即10℃到40℃,超過此范圍設備應能符合規范正常運行。在環境溫度變化超過15℃的情況下,VT變化約5%,這對大多數精密設計來說太大了。因此,需要補償增益的VT變化。
對re最簡單的補償方式是在rM中把它作為一個可以忽略的項(和RB項一起)。這是通過使RE占主導來實現的。對于RE>>re,re的漂移對增益的影響遠低于5%。許多情況下,占主導地位的外部發射極阻值解決了漂移問題,但犧牲了增益和功耗。通過增加I0,re成比例地減小,但電路功耗增加。這不僅對功耗受限的設備不利,還會通過增加BJT中的ΔPD(νi)而加劇發熱。
在某些情況下,re不能忽略不計,需要對其進行一些補償。最常見的一種方法是使I0跟蹤re并抵消其影響。為了使I0具有VT的TC,最簡單的方法是使用BJT電流源實現I0。電流源BJT的b-e結電壓隨溫升下降,I0增加、re減小。
電流源電路
我們將考慮的第一個電路源I0不過是個電阻R0,它返回到負電源。當電源電壓–V接近負無窮大或者R0的值接近無窮大時,這個“長尾”電流源接近理想的電流源。它對re的TC沒做補償。
下面顯示了第二個考慮的實現。

圖2:電路在R0兩端的電壓為V – VBE(Q0)。
這個簡單電路在R0兩端的電壓為V – VBE(Q0)。隨著溫度的升高,VBE降低,但與VT的TC無關。影響VBE的另一個主要BJT參數是在p-n結(b-e結)電壓方程中發現的飽和電流IS:

對于典型的BJT(例如PN3904),IS ≈10 fA。那么,1mA的電流產生的VBE≅0.65 V。
VT和IS都對TC(VBE)產生影響。IS對VBE的影響大于VT,且極性相反,導致對VBE的總影響約為–2mV/℃。因此,取消IS影響比VT的更重要。
根據V和VBE的相對值,TC(VBE)的影響可以通過選擇RE和電源電壓V來調節,這通常受到系統級設計的限制。通過在發射極和地之間增加一個電阻網絡,可以獨立設置戴維寧(Thevenin)等效電源電壓和R0值。如果正確地調節,隨著T增加,VBE減小、I0增加。如果增加T引起的re減小抵消了由VT引起的re增加,那么BJT對的re和增益保持不變。
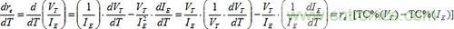
通過用T微分re,TC(re)的計算如下:
其中TC%是TC的分數變化。
TC%(I0) = TC%(IE)的設定可以建構如下。R0上的唯一變化來自VBE。因此,由T引起的I0的分數變化是:

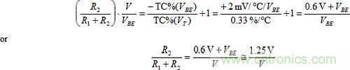
設定TC%(I0) = TC%(VT) = 1/T≅ 0.33 %/℃時,R0兩端的電壓,V – VBE = 0.6 V。在-V = -1.25V時,這個補償方案不太有吸引力。TC(I0)的極性對補償來說是正確的,但幅值不合要求,因此有了下一個方案,如圖3所示。

圖3:TC(I0)的極性對補償來說是正確的,但幅值不合要求,因此有了新的方案。
I0的實現比以前的方案更通用、更常見。基本分頻器為設置TC%(I0)提供了額外的自由度,它有助于忽略TC(β),現在是:

現在可以找到提供正確補償的分壓比。當TC%(I0)設置為等于TC%(VT)時,則:

這個結果很有意思;無論V值如何,空載分壓器電壓必須為1.25 V才能進行增益補償。這也是帶隙參考電壓,也應該是。帶隙電路使用負TC(VBE),并調節以抵消正TC(VT)。由此產生的帶隙電壓總是接近1.25V,并根據BJT摻雜水平略微變化。
經常用來提供粗略溫度補償的另一種電流源方案是插入與R2串聯的二極管,如圖4所示。

圖4:經常用來提供粗略溫度補償的一種電流源方案是插入與R2串聯的二極管。
常見的解釋是,二極管的TC補償了BJT b-e結的TC,導致更穩定的I0。一個典型的例子是使用1N4152二極管來補償PN3904。然而,二極管和BJT b-e結是完全不同的。結梯度不同,為實現更高的擊穿電壓,二極管的摻雜水平遠低于BJT基極。為了獲得良好的發射極到基極注入效率,發射極少數載流子濃度被有意地做大,這是以VBE反向擊穿為代價的,VBE反向擊穿通常在7V左右,遠低于二極管的40V。關鍵是,雖然兩個結都是硅,卻相當不匹配。
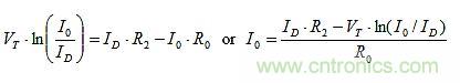
如果假定一個類似的BJT b-e結用作二極管,其基極連接到集電極,那么結點匹配就好得多(雖然不如相鄰集成BJT好),并允許α ≅ 1,然后在BJT輸入回路周圍施加基爾霍夫電壓定律(兩個BJT結的IS被消除):

其中ID是二極管電流。如果結電流相等,則VT的TC被去除并且TC%(I0) ≅ 0 %/℃。這對需要穩定電流源的應用非常有用,但它沒有補償差分放大器的re。為得到所需的TC,電流必須有意設定為不相等,并且對于TC的補償極性,它必須為正。因此,我們必須有ID>I0。
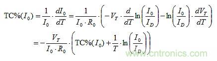
TC%(I0)通過上式中I0的隱函數微分求得:

通過另外的代數操作:

然后進行補償,設TC%(I0) = TC%(VT) = 1/T,求解:

實際的電流比因指數函數而要求R0兩端的電壓不要大于VT。對于I0 = 2mA,R0 = 22Ω,VT = 26 mV,R0兩端的電壓為44mV或1.69xVT,ID = 14.77xI0 = 29.5mA,大于多數設計所需的值。為了使R0不在發射結電路中占主導地位,需要R0為這樣的小值,以便能表示VBE的TC。然而在許多設計中,R0相對較大,且其壓降遠遠超過VT。因此,re的TC%(VT)沒有得到正確補償,增益中存在TC漂移。
前面的方案省略了基極二極管,在允許較大的R0電壓方面只是略好一點。也許我們應該逆向而行,在發射極中增加一或兩個二極管。組合結的TC將是單結TC乘以組合數量,這將使RE按比例變大。我們通常不希望增加大量的串聯二極管,因為這會造成I0的靜態穩定性變差。因此,使用差動放大電流源進行re的溫度補償需要小心地進行電路靜態設計。然后使I0對結參數敏感,并且這些參數(例如IS)在分立晶體管中具有稍寬的容差,即使相同部件號也是如此。就PN3904BJT來說,在相同電流和溫度條件下,不同供應商或生產批次的產品,可能會有高達50mV的差異。這種補償方法最適合單片集成。
結論
普遍認為,BJT電流源可以對BJT差分放大器進行溫度補償,但這并非放之四海而皆準。為常數re進行I0的溫度補償,導致電流源外部發射極電阻R0上的電壓變得過低,使得無法精確設置I0。
因此,除了放大VT的更復雜的方案,在一些設計中,用于差分放大器增益穩定性的RE主導方法似乎是可接受的。另一個有多個級的方案是使用連續補償(PNP)級來消除第一級的增益TC。


