【導讀】近幾十年以來,電氣傳感器一直作為測量物理與機械現象的標準設備發揮著它的作用。盡管它們在測試測量中無處不在,但作為電氣化的設備,他們有著與生俱來的缺陷,例如信號傳輸過程中的損耗,容易受電磁噪聲的干擾等等。這些缺陷會造成在一些特殊的應用場合中,電氣傳感器的使用變得相當具有挑戰性,甚至完全不適用。光纖光學傳感器就是針對這些應用挑戰極好的解決方法,使用光束代替電流,而使用標準光纖代替銅線作為傳輸介質。
近幾十年以來,電氣傳感器一直作為測量物理與機械現象的標準設備發揮著它的作用。盡管它們在測試測量中無處不在,但作為電氣化的設備,他們有著與生俱來的缺陷,例如信號傳輸過程中的損耗,容易受電磁噪聲的干擾等等。這些缺陷會造成在一些特殊的應用場合中,電氣傳感器的使用變得相當具有挑戰性,甚至完全不適用。光纖光學傳感器就是針對這些應用挑戰極好的解決方法,使用光束代替電流,而使用標準光纖代替銅線作為傳輸介質。
在過去的二十年中,光電子學的發展以及光纖通信行業中大量的革新極大地降低了光學器件的價格,提高了質量。通過調整光學器件行業的經濟規模,光纖傳感器和光纖儀器已經從實驗室試驗研究階段擴展到了現場實際應用場合,比如建筑結構健康監測應用等。
光纖傳感器簡介
從基本原理來看,光纖傳感器會根據所測試的外部環境參數的變化來改變其傳播的光波的一個或幾個屬性,比如強度、相位、偏振狀態以及頻率等。非固有型 (混合型) 光纖傳感器僅僅將光纖作為光波在設備與傳感元件之間的傳輸介質,而固有型光纖傳感器則將光纖本身作為傳感元件使用。
光纖傳感技術的核心是光纖–一條纖細的玻璃線,光波能夠在其中心進行傳播。光纖主要由三個部分組成:纖芯(core),包層(cladding)和保護層(buffer coating)。其中包層能夠將纖芯發出的雜散光波反射回纖芯中,以保證光波在纖芯中具有最低的傳輸損耗。這個功能的實現原理是纖芯的光折射率比包層的折射率高,這樣光波從纖芯傳播到包層的時候會發生全內反射。最外面的保護層提供保護作用,避免外界環境或外力對光纖造成損壞。而且可以根據需要要強度和保護程序的不同,使用多層保護層。
圖1. 典型光纖的橫截面圖
光纖布拉格光柵(FBS)傳感器
光纖布拉格光柵傳感器是一種使用頻率最高,范圍最廣的光纖傳感器,這種傳感器能根據環境溫度以及/或者應變的變化來改變其反射的光波的波長。光纖布拉格光柵是通過全息干涉法或者相位掩膜法來將一小段光敏感的光纖暴露在一個光強周期分布的光波下面。這樣光纖的光折射率就會根據其被照射的光波強度而永久改變。這種方法造成的光折射率的周期性變化就叫做光纖布拉格光柵。
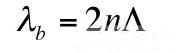
當一束廣譜的光束被傳播到光纖布拉格光柵的時候,光折射率被改變以后的每一小段光纖就只會反射一種特定波長的光波,這個波長稱為布拉格波長,如下面的方程 (1) 中所示。這種特性就使光纖布拉格光柵只反射一種特定波長的光波,而其它波長的光波都會被傳播。
在方程 (1)中,λb 是布拉格波長,n 是光纖纖芯的有效折射率,而 Λ 是光柵之間的間隔長度,稱為光柵周期。
圖2. 光纖布拉格光柵傳感器的工作原理
因為布拉格波長是光柵之間的間隔長度的函數(方程 (1) 中的Λ),所以光纖布拉格光柵可以被生產為具有不同的布拉格波長,這樣就能夠使用不同的光纖布拉格光柵來反射特定波長的光波。
圖3. 光纖布拉格光柵透視圖
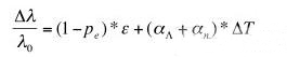
應變以及溫度的改變會同時影響光纖布拉格光柵有效的光折射率 n 以及光柵周期Λ ,造成的結果就是光柵反射光波波長的改變。光纖布拉格光柵反射波長隨應變和溫度的變化可以近似地用方程 (2) 中的關系來表示:
其中 Δλ 是反射波長的變化而 λo 為初始的反射波長。
右邊加號前的第一個表示式表示的是應變的變化對反射波長的影響。其中 pe 是應變光學靈敏系數,而 ε 是光柵所受到應變影響。加號后面的第二個表達式表示的是溫度的變化對波長造成的影響。其中 αΛ 是熱膨脹系數而 αn 是溫度光學靈敏系數。αn 體現了光折射率因為溫度變化造成的影響而 αΛ 體現了同樣的溫度變化造成的光柵周期的改變。
正因為光纖布拉格光柵會同時受到應變和溫度變化的影響,所以在計算反射波長變化的時候既要同時考慮這兩種因素,又要分別對其進行分析。當進行溫度測量的時候,光纖布拉格光柵必須保持在完全不受應變影響的條件下。你可以使用為此專門進行封裝的FBG溫度傳感器,這種傳感器能保證封裝內部光纖布拉格光柵的屬性不會耦合于任何外部的彎曲,拉伸,擠壓或扭曲應變。在這種情況下,玻璃的熱膨脹系數 αΛ 通常在實用中是可以忽略的;所以,因溫度變化而造成的反射波長的改變就可以主要由該光纖的溫度光學靈敏系數 αn 來決定了。
光纖布拉格光柵應變傳感器在某種程序上講就更加復雜了,因為溫度和應變會同時影響傳感器的反射波長。為了正確地進行的測量,在測試的時候,必須針對溫度對光纖布拉格光柵造成的影響進行補償。為了實現這種補償,可以使用一個與FBG應變傳感器有良好熱接觸的FBG溫度傳感器來完成。得到測試結果以后,只需要簡單地從FBG應變傳感器測得的波長改變中減去由FBG溫度傳感器測得的波長改變就可以從方程 (2) 中消去加號右邊的第二個表達式,這樣做就補償了應變測試中溫度變化造成的影響了。
安裝光纖布拉格光柵應變傳感器的過程和安裝傳統的電氣應變傳感器的過程類似,而且FBG應變傳感器有許多種不同的種類和安裝方法可供選擇,包含環氧樹脂型,可焊接型, 螺栓固定型和嵌入式型。
探詢方法
由于光纖布拉格光柵可以被植入不同的特定反射波長,所以可以利用它來實現良好的波分復用 (WDM) 技術。這個特性使得可以在一條長距離的獨立光纖上,以菊花鏈的形式連接多個不同的擁有特定布拉格波長的傳感器。波分復用技術在可用的光學廣譜中為每一個FBG傳感器分配了一個特定的波長范圍供其使用。由于光纖布拉格光柵固有的波長特性,就算在傳輸過程中由于光纖介質的彎曲和傳輸造成了光強的損耗和衰減,傳感器測得的結果也仍然能夠保持準確。
每一個獨立的光纖布拉格光柵傳感器的工作波長范圍和波長探詢器可探詢的總波長范圍決定了在一條單獨的光纖上可以掛接的傳感器的數量。一般來說,因為應變改變造成的波長改變會比溫度改變造成的波長改變更加明顯,所以一般會為FBG應變傳感器分配大概5納米的工作波長范圍,而FBG溫度傳感器則分配大概1納米的工作波長范圍。又因為通常的波長探詢器能提供的測試范圍大概為60到80納米,所以一條光纖上掛接的傳感器數量一般可以從1個到80個不等 – 當然,這要建立在各個傳感器反射波長的區域在光譜范圍內不會有重疊 (圖 4) 的基礎上的。因此,在選擇FBG傳感器的時候,需要仔細地選擇標稱波長以及工作波長范圍來保證每一個傳感器都有其獨立的工作波長區域。
圖4. 同一條光纖上掛接的每一個FBG傳感器必須具有其獨立的工作波長范圍
一般的FBG傳感器會擁有幾個納米的工作波長范圍,所以光學探詢器必須能夠完成分辨率為幾個皮米甚至更小的測量 – 一個相當小的量級。探詢FBG光柵傳感器可以有幾種方法。干涉計是通常運用的實驗室設備,它可以提供相當高分辨率的光譜分析。但是,這些儀器一般來說非常昂貴,體積龐大并且不夠堅固,所以在一些涉及各種結構的現場監測的應用中,如風機葉片,橋梁,水管以及大壩等環境的監測中,這些儀器都不適用。
一種更加堅固的方法是引入了電荷耦合器件 (charge-coupled device - CCD) 以及固定的分散性單元,一般是指波長位置轉換。
在這種方法中,會用一個廣譜的光源照射FBG傳感器 (或者一系列FBG傳感器)。這些反射光束會通過一個分散性單元,分散性單元會將波長不同的反射光束分別分配到電荷耦合器件(CCD)表面不同的位置上去。如下圖5所示。
圖5. 使用波長位置轉換法探詢FBG光學傳感器
這種方法可以快速并且同時地對掛接在光纖上的所有FBG傳感器進行測量,但是它只提供了非常有限的分辨率以及信噪比 (SNR)。舉例來說,如果我們希望在80納米的波長范圍中實現1皮米的分辨率,那么我們需要一個包含80,000個像素點的線性CCD器件,這個像素指標已經比目前在市面上能夠找到的最好的線性CCD器件 (截至2010年7月) 的指標高出了10倍以上。另外,因為廣譜光源的能量是被分散到一個很廣的波長范圍中,所以FBG反射光束的能量會非常小,有時候甚至會給測量帶來困難。
目前最流行的方法是利用一個可調法珀濾波器來創造一束具有高能量,并且能夠快速掃頻的激光源來代替傳統的廣譜的光源。可調的激光源將能量集中在一個很窄的波長范圍里面,提供了一個具有很高信噪比的高能量的光源。這種體系結構提供的高光學功率讓使用一條光纖掛載多個光學通道成為可能,這樣就能有效地減少多通道探詢器的成本并且降低系統的復雜度?;谶@種可調激光架構的探詢器可以在一個相對大的波長范圍里面以很窄的光譜帶進行掃描,另一方面,一臺光探測器將與這個掃描同步,測量從FBG傳感器反射回來的激光束。當可調激光器發射的激光波長與FBG傳感器的布拉格波長吻合的時候,光探測器就能測量到相應的響應。該響應發生的時候可調激光的波長就對應了此時FBG傳感器處測得的溫度以及/或者應變,如圖 6所示。
圖6. 用可調激光源法探詢FBG光學傳感器
使用這種方法進行探詢可以達到大概1皮米的精度,對應到傳統FBG傳感器的精度即是約1.2微應變(FBG應變傳感器)或約0.1攝氏度(FBG溫度傳感器)。因為可調激光源法相對于其它的方法來說具有很高的光學功率,所以這種探詢法還可以適用于光纖長度更大 (超過10千米) 的測量應用中。
FBG光學傳感器的優勢
通過使用光波代替電流以及使用標準光纖代替銅線作為傳輸介質,FBG光學傳感解決了許多使用電氣傳感需要面臨的挑戰和解決的困難。光纖和FBG光學傳感器都是絕緣體,具有被動性電學特性,并且不受電磁感應噪聲的影響。具有高光學功率可調激光源的探詢器可以以很低的數據丟失率甚至是零丟失來完成長距離的測量。同時,與電氣傳感器系統不同,一個光學通道可以同時完成多個FBG傳感器的測試,極大地減小了測試系統的體積,重量以及復雜度。
在一些外部環境條件惡劣的應用現場中,一些常用的電氣傳感器,例如箔應變片,熱電偶,以及振弦式傳感器已經很難使用甚至已經失效的情況下,光學傳感器是一個非常理想的解決辦法。因為光學傳感器的用途以及安裝方法和這些傳統的電氣傳感器類似,所以從電氣測試方案過渡到光學測試方案會相對簡單。如果能夠對光纖和FBG的工作原理有一個比較好的了解,那將幫助你更好地接受光學測試技術并駕馭這種新技術所帶來的所有優勢。
免責聲明:本文為轉載文章,轉載此文目的在于傳遞更多信息,版權歸原作者所有。本文所用視頻、圖片、文字如涉及作品版權問題,請聯系小編進行處理。
推薦閱讀:
2023第15屆中國(南京)國際動力及儲能電池與供應鏈博覽會




