【導讀】反激電源的RCD吸收,對電源研發行業從業者來說是非常常見的電路,一般認為為了處理反激電源變壓器漏感帶來的功率管電壓尖峰,需要通過RCD電路進行處理。
反激電源的RCD吸收,對電源研發行業從業者來說是非常常見的電路,一般認為為了處理反激電源變壓器漏感帶來的功率管電壓尖峰,需要通過RCD電路進行處理。盡管十分常見,但是最后還是決定寫一個專題的系列文章,初步估計會有三到四篇文章,內容分別關于變壓器漏感、RCD連接方式、損耗計算和元件選型,希望能帶給讀者一些新的研發思路。
本文適合于電源研發工程師進階閱讀。
一些基本理論
變壓器,一種利用電-磁互相轉化的原理實現能量從一個端口到另一個端口的電子元件,基本結構是磁芯以及繞在同一個磁芯上的兩個或多個繞組。
盡管通常并不會把反激電源變壓器當做典型的變壓器來分析(實踐中往往當做耦合電感),但是變壓器的相關理論顯然仍然適用于反激電源變壓器。
理想的變壓器是沒有能量損耗的,且變壓器各個繞組之間完全耦合,這時候變壓器的電路模型就十分簡單。但是實際上,變壓器在進行電-磁-電的轉換過程中,無論是磁芯還是繞組都是有損耗的,而且繞組之間并不能做到完全耦合。這時候,變壓器的電路模型就復雜的多。這時候,可以使用等效電路將變壓器轉換為基本的電阻、電感等元件,借助基本的電路理論進行一些簡化分析。

上圖是一個簡圖。實際的變壓器耦合不好,導致了漏感L_p、L_s;電流流過變壓器繞組產生的損耗是由于電阻R_p、R_s;在磁芯激勵出磁場才能將能量傳遞到副變,出現了勵磁電感L_m;磁芯中的變化的磁場是需要消耗能量才能維持的,有了勵磁損耗R_m。加上中間的理想變壓器,這就有了實際變壓器的一個近似等效。
這時,中間的理想變壓器只起到了隔離的作用。通過阻抗變換,我們可以去掉它:

無論變壓器匝數比是多少,我們都可以通過阻抗變換,將變壓器次級的阻抗乘以匝數比的平方,而將變壓器匝數比替換為1:1。一個1:1的變壓器原副邊等電位點連載一起,就得到了變壓器的T型等效電路。
在一般的電力變壓器分析時,考慮到中間的勵磁支路的電流相對負載電流來說很小,將R1、X1上的勵磁電流忽略,那么勵磁支路就可以移到左側端口,就得到了變壓器的Γ型等效電路:

這時候,同一之路上的阻抗可以合并,變壓器及負載變成了兩個并聯的阻抗支路,分析的時候就十分簡單。
而在反激變壓器工作時,其實不存在上述分析時提到的變壓器的負載電流,在反激電路原邊繞組勵磁時副邊繞組開路,那么這時可以把勵磁支路移動右側端口,原理實際是一樣的,就不贅述了。
前文提到過,變壓器即是耦合電感,變壓器的T型等效電路與耦合電感的T型去耦電路在形式上是一樣的。變壓器可以認為是耦合系數極大的特殊耦合電感,分析時可以適當簡化。
上面的內容其實在很多教材中都有。這樣的等效電路是變壓器分析時的有效工具,前面的兩個截圖就是來自本科教材 《電機學》華中科大版。網上有這個書的pdf版,強烈建議電源工程師仔細讀一下其中的變壓器相關章節。(考慮到可能存在的版權問題,這份資料就不上傳到這里了)
等效漏感分析與優化
這部分結合反激電源的實際情況,寫一下反激拓撲中所謂的漏感從哪里來。先說結論:反激拓撲中的漏感,主要來自兩個方面:變壓器自身結構,和PCB走線的寄生電感。
考慮到能讀到這里的肯定都是進階讀者,反激拓撲的漏感來自變壓器自身結構這個就不多解釋了。
而往往會被忽略的是,PCB走線,尤其是變壓器次級PCB走線的寄生電感,也是反激拓撲的等效漏感的重要來源。PCB走線寄生電感的示意圖如下:

上圖中的L1~L4位置在實踐中都會有一段引線,按前文的理論,其寄生電感都應等效為變壓器漏感,實際上也都會影響到MOSFET的電壓應力。
可能L1~L3對MOSFET電壓應力的影響比較容易理解。如果某位讀者對電感L4影響原邊MOSFET電壓應力有疑問——在原邊MOSFET產生漏感電壓尖峰應力時,L4并沒有電流流過,那么不妨這樣想:由于L4的阻抗的存在,在原邊MOSFET截止時,變壓器中儲存的能量無法立即開始向次級傳遞,那么變壓器能量只能先在原邊流出,直到電感L4的電流上升到足夠大。顯然,由于L4的阻抗,反激電源原邊MOSFET的電壓應力會變高。
在實際的反激電源產品中,這幾段PCB走線的長度大概在幾mm到幾十mm這個范圍,按1nH/mm粗略估算L1~L4這幾段寄生電感大概在幾nH到幾十nH這個數量級。
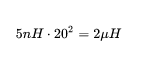
相對于可能達到數百uH以上的變壓器原邊勵磁電感和往往大于2%的變壓器自身漏感比例,似乎L1~L4的總電感量對實際漏感的影響是可以忽略的,但請回想一下前文的阻抗變換的方法。由于變壓器次級整流電路走線的寄生電感L4需要折算到變壓器原邊,折算方法是乘以變壓器匝比,那么在某些應用中,L4可能對實際的等效漏感貢獻較大。
比如,假設某個反激電源變壓器的原邊感量為750uH,變壓器匝比20:1 ,變壓器原邊測量漏感比例2%,變壓器漏感為15uH。這個變壓器應用于輸入電壓300VDC,輸出電壓5VDC的反激電源中,變壓器次級整流回路的引線長度8mm,寄生電感為8nH,那么這段引線寄生電感折算到變壓器原邊時,感量變為

可見這個應用中,變壓器次級整流回路的寄生電感令等效漏感上升了約13%。在類似的高輸入電壓、低輸出電壓的應用中,由于變壓器原副邊匝比較大,次級整流回路的引線寄生電感對原邊等效漏感的影響可能會十分顯著,這顯然會影響到功率MOSFET的電壓應力和電源的轉換效率。
由于這個專題的主要內容是RCD電路的分析,漏感優化不作為重點內容,就不占用過多篇幅。而由上面的分析,在這里想特別提醒的是,反激電源在PCB設計時請盡量縮短變壓器次級整流回路(變壓器引腳-整流二極管-輸出濾波電容組成的回路)的長度和包圍的面積,這對電源效率、功率元件電壓應力、電磁兼容都有顯著影響。
(來源:星球號——《反激拓撲RCD吸收(1)變壓器漏感》,作者:Preston)
(來源:星球號——《反激拓撲RCD吸收(1)變壓器漏感》,作者:Preston)
免責聲明:本文為轉載文章,轉載此文目的在于傳遞更多信息,版權歸原作者所有。本文所用視頻、圖片、文字如涉及作品版權問題,請電話或者郵箱聯系小編進行侵刪。





