【導讀】當需要比較各階次的相對大小、對總量級OA的貢獻,以及評價階次的線性度時都需要對階次進行提取。而常規提取出來的階次是不帶相位信息的,在這里我們講一講帶相位的階次提取、以及各種階次提取的方法與階次的疊加。
當需要比較各階次的相對大小、對總量級OA的貢獻,以及評價階次的線性度時都需要對階次進行提取。而常規提取出來的階次是不帶相位信息的,在這里我們講一講帶相位的階次提取、以及各種階次提取的方法與階次的疊加。
1、階次的相位
在《什么是Overall level》一文中,我們已經明白階次提取時是計算相應階次寬度內的有效值,然后按照時間或轉速的先后順序,將各個瞬時頻譜的這個階次寬度內的有效值連成曲線,即為要提取的階次。如提取圖1所示的2階次時,階次寬度設置為0.5階次(從1.75-2.25階次,圖中兩條藍線所示的區域),計算每個瞬時頻譜這個階次寬度內的有效值如圖右側所示,然后將這些有效值按轉速的先后順序連接得到2階次,如圖2所示。

圖1 2階次對應的各個瞬時頻譜的有效值

圖2 波德圖顯示2階次曲線
在圖1所示的轉速區間,總共有21個瞬時頻譜,因而在這個轉速區間繪制的2階次也只有21個數據點(每個十字表示一個數據點)。另外,注意到提取出來的階次是不帶相位的,每個轉速點對應的相位為0。階次沒有相位是因為計算階次時是按能量(有效值表示能量)的方式來考慮的。
雖然常規的階次提取是沒有相位的,但是某些情況下提取到的階次是可以帶相位的,如圖3所示。

圖3 帶相位的階次
如果想提取帶相位的階次,則應計算相位參考譜,基于相位參考譜才能提取到帶相位的階次。相位參考譜的設置如圖4所示,選擇的函數為頻譜,還需要選擇一個通道作為相位參考通道。

圖4 相位參考譜的設置
對同一個信號按常規階次提取(計算的函數為自譜,綠色)和按相位參考譜提取到的帶相位的階次(紅色)的對比如圖5所示。從圖中可以看出,兩個階次的大小完全相同,不同的是相位。也就是說,不管哪種方式提取階次,計算得到的階次都是計算階次寬度內的有效值,而常規階次提取是沒有相位的,實際上由于計算階次寬度內的有效值是按能量計算的,此時,是不考慮相位的,那么,在計算相位參考譜提取階次時,得到的階次相位是擬合出來的。

圖5 對比同一階次帶相位與不帶相位
2、階次的提取
基于Testlab的階次提取,常規做法是頻譜分析的同時進行階次提取,界面如圖6所示,提取階次時可以按階次寬度、階次百分比、頻率寬度和譜線數來考慮相應階次對應的頻率范圍,關于這四個參數的區別,請參考《如何選擇階次切片寬度》一文。

圖6 常規階次提取方法的設置
倘若在進行瀑布圖分析的時候,沒有按上述方法進行設置,則不會提取到任何階次,后續如果想提取階次,當然可以再進行一次頻譜分析。但實際上,也可以不用再進行頻譜分析也能提取到階次。這有兩種方法可用于后續提取到階次,一種方法是頻域后處理;另一種是階次處理光標。
頻域后處理時,首先需要選中要提取的瀑布圖結果,然后在【處理函數】下面選擇函數為【階次切片】,在【階次】一欄中輸入要提取的階次,各階次之間分號隔開,通過【更多】按鈕設置階次切片寬度模式,設置頁面與如圖6相同,然后點擊【計算】即可將提取到的階次自動保存在當前項目中。

圖7 頻域后處理提取階次
基于階次處理光標是直接在瀑布圖或colormap圖中使用階次處理光標,如圖8所示。通過右鍵選擇【添加處理光標】—【階次】即會在圖中增加一條階次處理光標,同時跳出【光標處理】頁面,可移動光標或輸入階次值到想要提取的階次處,右鍵【光標處理】頁面中的階次,會出現【參數】選項,可設置相應的階次寬度參數,默認是0.5階次寬度,然后將這個階次切片拖入前后圖中顯示即可。

圖8 添加階次處理光標

圖9 階次提取頁面
3、階次的疊加
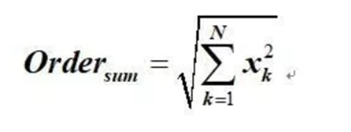
當考慮各主要階次成分對Overall Level的貢獻時,可能會對各主要階次進行疊加,然后與Overall Level進行比較。疊加時應按能量方式疊加,而不應該是幅值直接相加。計算某一個轉速下疊加之后的階次為

其中,xk表示第k條階次在當前轉速下的有效值,N是總階次數。
對圖10所示的2,4,6,8階次按上式進行疊加,得到疊加之后的階次如圖11中的Sum1曲線所示。如果是各階次直接相加,結果如圖11中的Sum曲線所示,此時,這4個階次直接相加之和大于Overall level,這是不正確的。因此,階次相加必然按能量相加的方式進行,而不是代數相加。

圖10 各階次成分與Overall level

圖11 對比疊加之后的階次之和
免責聲明:本文為轉載文章,轉載此文目的在于傳遞更多信息,版權歸原作者所有。本文所用視頻、圖片、文字如涉及作品版權問題,請電話或者郵箱聯系小編進行侵刪。






