【導讀】功率半導體熱設計是實現IGBT、碳化硅SiC高功率密度的基礎,只有掌握功率半導體的熱設計基礎知識,才能完成精確熱設計,提高功率器件的利用率,降低系統成本,并保證系統的可靠性。
前言
功率半導體熱設計是實現IGBT、碳化硅SiC高功率密度的基礎,只有掌握功率半導體的熱設計基礎知識,才能完成精確熱設計,提高功率器件的利用率,降低系統成本,并保證系統的可靠性。
功率器件熱設計基礎系列文章會比較系統地講解熱設計基礎知識,相關標準和工程測量方法。
確定熱阻抗曲線
測量原理——Rth/Zth基礎:
IEC 60747-9即GB/T 29332半導體器件分立器件第9部分:絕緣柵雙極晶體管(IGBT)(等同采用)中描述了測量的基本原理。確定熱阻抗的方法如圖1所示。恒定功率PL由加載的電流產生,并達到穩定結溫Tj。關閉加載電流,記錄器件的降溫過程。
熱阻Rth(x-y)是兩個溫度Tx0和Ty0在t=0時(達到熱平衡,結溫穩定時)的差值除以PL。
熱模型升溫和降溫是對稱的,關斷時刻的溫度減去降溫曲線就是升溫曲線,而關斷時刻的起始溫度TJ0精確獲得是關鍵。
實際計算隨時間變化的熱阻抗Zth(x-y)(t),記錄的溫度曲線需要垂直鏡像,并移動到坐標系的原點。然后將Tx(t)和Ty(t)的差值除以PL求得Zth(x-y)(t)。
為了確定冷卻階段的結溫,模塊將施加一個測量小電流(Iref約為1/1000 Inom),并記錄由此產生的IGBT的飽和壓降或二極管的正向電壓。結溫Tj(t) 可借助標定曲線從測量的飽和壓降或正向電壓中確定Tj=f(VCE/VF@Iref)。其反函數曲線VCE/VF=f(Tj@Iref)(見圖二)是通過外部均勻加熱被測模塊的方式提前定標記錄下來的。
外殼溫度Tc和散熱器溫度Th是通過熱電偶測定的。這是它們分別與模塊底板和散熱器接觸的位置(見圖三,左側)。在這兩種情況下,熱電偶投影軸心位于每塊芯片的中心(見圖三,右側)。
Rth/Zth測量的挑戰和優化
模塊的瞬態熱阻最小為1毫秒,單管是1us,而且給出單脈沖和不同占空比下的值,這如何測量的呢?
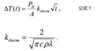
在冷卻階段開始時,就需要精確測量以確定準確的Tj和Tc。需要指出的是,關斷后,由于小的時間常數,很短的時間會導致Tvj發生很大變化,因此這是一個非常重要的測量時間段。另一方面,此時也會出現振蕩,給測量帶來很大困難,見圖四。小于某個截止時間tcut的所有時間點上的數據不可以用,但在此時間間隔內的溫度變化ΔTJ(tcut)又很重要,好在對于短時間t,在?TJ(t)和時間t的平方根存在幾乎線性的關系,可以用于推算出TJ0,見圖五。
因為,對于均質材料的"半無限"散熱器板(即表面積無限大的板--確保垂直于表面的一維熱流--厚度無限大),其表面以恒定的功率密度PH/A加熱,當加熱功率開啟/關閉時,表面溫度隨加熱/冷卻時間的平方根線性上升/下降。
c、ρ和λ別是板材料的比熱、密度和導熱系數。
在英飛凌應用指南AN2015-10提到了目前正在使用一種改進的測量系統(見圖六)。
隨著技術和產品的進步,英飛凌重新制定了Rth/Zth測量方法和仿真方法。通過使用新的測量設備,現在可以更精確地確定IGBT模塊的Rth/Zth值3)。
圖七對此進行了簡化描述。與以前的測量系統"A"相比,修改后的測量系統"B"在t=0時Tj和Tc之間的差值更大。如圖一所示,這一溫差與熱阻Rth成正比,同時也會影響熱阻抗Zth。
熱阻抗與溫度有關
由于模塊的熱力學行為,外殼和散熱器之間的熱阻抗(ZthCH和ZthJH)與溫度有關。模塊經過優化,可最高效地把熱傳導至散熱器,以適應半導體使用的典型高工作溫度。因此,數據手冊條件僅反映高溫運行工況,如果模塊在較低的外殼溫度下運行,用戶應自行測量特定熱阻抗,可能會顯著增加。
小結
瞬態熱阻一般是用降溫曲線測得的,這樣,溫度敏感參數(TSP)就不會受到加熱電壓或加熱電流的干擾,在測量過程中也無需控制加熱功率。雖然不推薦使用加熱曲線,但如果在加熱脈沖時間內加熱功率PH恒定,且能保證不與芯片上的獨立TSP器件發生電氣串擾,則原則上也可使用加熱曲線4)。
數據手冊中的ZthCH和ZthJH,是高溫下的值,在器件殼溫低時候,需要考慮數值是否變大3)。
額外的收獲是,通過公式1,可以計算出芯片的有效面積4),由于芯片有效面積是知道的,可以用來驗證測試值。
參考資料
1.《IGBT模塊:技術、驅動和應用 》機械工業出版社
2. IEC 60747-9 Semiconductor devices - Discrete devices - Part 9: Insulated-gate bipolar transistors (IGBTs)
3. AN2015-10 Transient thermal measurements and thermal equivalent circuit models
4.JESD51-14-Transient Dual Interface Test Method for the Measurement of the Thermal Resistance Junction to Case of Semiconductor Devices with Heat Flow Trough a Single Path
免責聲明:本文為轉載文章,轉載此文目的在于傳遞更多信息,版權歸原作者所有。本文所用視頻、圖片、文字如涉及作品版權問題,請聯系小編進行處理。
推薦閱讀:
貿澤電子攜手安森美和Würth Elektronik推出新一代太陽能和儲能解決方案
AMTS 2025展位預訂正式開啟——體驗科技驅動的未來汽車世界,共迎AMTS 20周年!





