- 探究峰值電流限流的優化方案
- 采用峰值電流限流的方法
- 采用比較器來檢測IL是否超出IV
引言
電流限制是開關式電源轉換器的一個重要保護功能,它可以在電流限制模式下限制可用的輸出電流,以防止出現系統故障。峰值電流限制是目前業內普遍采用的電流限制方法。每當電感的電流IL超出閾值IV時,電源轉換器的開關(如圖1所示)便會關斷,以制止電流從輸入電壓源VIN注入,直至IL小于IV時,開關才會重新開通。由于輸出電流IOUT總是等于IL的平均值(在工作期間IL呈線型紋波),故在電流限制模式下的IOUT(CL,DES) 為:
式中的IL(RIPPLE)是IL紋波的峰峰值。
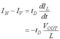
一般而言,通常采用比較器來檢測IL是否超出IV,以決定關斷或重新開通。可是,比較器會帶來延時tD,影響閾值的有效值。如圖2所示,比較器在t1時刻檢測到IL< p> V,可是偶遇延時tD,開關會在t2時刻被恢復。基于這個原因,有效閥值IN便會低于IV,這樣,實際的輸出IOUT(CL)為:
當IN<> V時,上述數值便會小于IOUT(CL,DES)。結果,在比較器中的tD會消減IOUT(CL) 。
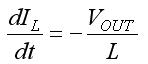
進一步研究,可發現IN會受電感L的影響。考慮到IL的電流變化率為:
(3)式中的t是時間,而VOUT是電源轉換器(如圖1所示)的輸出電壓。當L減小時,便會相應減少。由于tD不會受ILS、L和VOUT影響,并且VOUT也不受L影響,所以IN會隨著L而下降。這種關系可用下式表示:
(4)圖 1 降壓電源轉換器

[page]
結果,IOUT(CL)會在工作頻率較高時明顯小于IOUT(CL,DES),并會在低工作頻率時維持正常水平。盡管IV可設定為較高值,以確保IOUT(CL)可達到IOUT(CL, DES),但這種超常的設計會為MOSFET帶來一些問題。比如說,為了在電流限制模式下處理更多的電流,需要更大的電感和電路板尺寸。前者將會增加整體電路的大小和成本,而后者則會增加電路的生產成本。
圖2 電感器電流波形(檢測到IL

優化方案
要減少IOUT(CL)的下降,建議使用一個可變的IV來取代一個固定的IV。IV的變化取決于IL(RIPPLE)的平均值:即輸出電流IOUT。在電流限制模式下,假如IOUT(CL)由于tD而減少,那么IV將會增加,直至IOUT(CL)達到ILR參考值。這樣,IOUT(CL)將不會再受到tD的影響。優化提案的框圖如圖3所示。當中采用一個低通濾波器(LPF)來均化IL及其輸出,并且給出一個誤差放大器的ILR參考值。采用一個積分器,通過誤差放大器的輸出可以產生一個可變IV。結果,I可達到一個令IOUT(CL)與ILR相等的值,而IOUT(CL)也可脫離tD的影響。

圖 3 改良方案的模塊圖

圖 4 傳統方案的模擬結果

圖 5 改良方案的模擬結果
為了說明這個方案,圖1中的降壓轉換器會采用這些配置:L=20mH、COUT=47mF、RL值在2.64W(正常模式)~1.1W(電流限制模式)間轉換,并會使用一個tD=100ns的比較器,而IOUT(CL,DES)和IL(RIPPLE)分別是2.5A和0.3A。不過,如果使用傳統的峰值電流限制方法,那么式(1)中的IV便會設定為2.35A,傳統方法的模擬結果如圖4所示。由此可以看到,IOUT(CL)會由于tD的影響而低于2.5A。然而,使用新方法并將ILR設定在2.5A,IOUT(CL)便可如圖5所示達到2.5A。于是,傳統方法中出現的問題便能夠在該方案中解決。



