- 并聯式開關電源的工作原理
- 并聯式開關電源輸出電壓濾波電路
- 并聯開關電源儲能電感的計算
- 并聯式開關電源儲能濾波電容的計算
并聯式開關電源
并聯式開關電源的工作原理比較簡單,工作效率很高,因此應用很廣泛,特別是在一些小電子產品中,并聯式開關電源作為DC/DC升壓電源應用最廣。例如,很多使用干電池的手提式電器,由于干電池的電壓一般只有1.5V或3V,為了提高工作電壓,都是使用并聯式開關電源把工作電壓提高一倍。并聯式開關電源的缺點是輸入與輸出共用一個地,因此,容易產生EMI干擾。
并聯式開關電源的工作原理

圖1-11-a是并聯式開關電源的最簡單工作原理圖,圖1-11-b是并聯式開關電源輸出電壓的波形。圖1-11-a中Ui是開關電源的工作電壓,L是儲能電感,K是控制開關,R是負載。圖1-11-b中Ui是開關電源的輸入電壓,Uo是開關電源輸出的電壓,Up是開關電源輸出的峰值電壓,Ua是開關電源輸出的平均電壓。
當控制開關K接通時,輸入電源Ui開始對儲能電感L加電,流過儲能電感L的電流開始增加,同時電流在儲能電感中也要產生磁場;當控制開關K由接通轉為關斷的時候,儲能電感會產生反電動勢,反電動勢產生電流的方向與原來電流的方向相同,因此,在負載上會產生很高的電壓。
在Ton期間,控制開關K接通,儲能濾波電感L兩端的電壓eL正好與輸入電壓Ui相等,即:

對上式進行積分,可求得流過儲能電感L的電流為:

式中iL為流過儲能電感L電流的瞬時值,t為時間變量,i(0)為流過儲能電感的初始電流,即:開關K接通前瞬間流過儲能電感的電流。一般當占空比D小于或等于0.5時,i(0)= 0,由此可以求得流過儲能電感L的最大電流ILm為:

式中Ton為控制開關K接通的時間。當圖1-11-a中的控制開關K由接通狀態突然轉為關斷時,儲能電感L會把其存儲的能量(磁能)通過反電動勢進行釋放,儲能電感L產生的反電動勢為:

式中負號表示反電動勢eL的極性與(1-35)式中的符號相反,即:K接通與關斷時電感的反電動勢的極性正好相反。對(1-38)式階微分方程求解得:

式中C為常數,把初始條件代入上式,就很容易求出C,由于控制開關K由接通狀態突然轉為關斷時,流過儲能電感L中的電流iL不能突變,因此,i(Ton+)正好等于流過儲能電感L的最大電流ILm ,所以(1-39)式可以寫為:

圖1-11-a并聯式開關電源輸出電壓uo等于:
由(1-41)式可以看出,當t = 0時,即:K關斷瞬間,輸出電壓有最大值:

當t等于很大時,并聯式開關電源輸出電壓的值將接近輸入電壓Ui,但這種情況一般不會發生,因為控制開關K的關斷時間等不了那么長。
從(1-42)式可以看出,當并聯式開關電源的負載R很大或開路時,輸出脈沖電壓的幅度將非常高。因此,并聯式開關電源經常用于高壓脈沖發生電路。[page]
并聯式開關電源輸出電壓濾波電路
上面已經知道,當并聯式開關電源不帶輸出電壓濾波電路時,輸出脈沖電壓的幅度將非常高。但在應用中,大多數并聯式開關電源輸出電壓還是經過整流濾波后的直流電壓,因此,一般開關電源的輸出電路都帶有整流濾波電路。
圖1-12是帶有整流濾波功能的并聯式開關電源工作原理圖。圖1-12中,Ui是開關電源的工作電壓,L是儲能電感,eL為電流iL在儲能電感兩端產生的反電動勢,K是控制開關,R是負載。而圖1-13、圖1-14、圖1-15分別是并聯式開關電源控制開關K工作于占空比為0.5、< 0.5、> 0.5時,圖1-12電路中各點的電壓、電流波形。圖圖1-13、圖1-14、圖1-15中Ui是開關電源的輸入電壓,uo是控制開關K兩端的輸出電壓,uc是濾波電容兩端的輸出電壓,Up是開關電源輸出的峰值電壓,Uo是開關電源輸出電壓(平均值),Ua是開關電源輸出的平均電壓,iL是流過儲能電感L的電流,iLm是流過儲能電感L電流的最大值,Io是流過負載R的電流(平均值)。
當控制開關K接通時,輸入電源Ui開始對儲能電感L加電,流過儲能電感L的電流iL開始增加,同時電流在儲能電感中也要產生反電動勢eL;當控制開關K由接通轉為關斷的時候,儲能電感也會產生反電動勢eL。eL反電動勢的方向與開關K關斷前的方向相反,但與電流的方向相同,因此,在控制開關K兩端的輸出電壓uo等于輸入電壓Ui與反電動勢eL之和。
因此,在Ton期間:

對上式進行積分,可求得流過儲能電感L的電流為:

(1-44)式中iL為流過儲能電感L電流的瞬時值,t為時間變量;i(0)為的初始電流,即:控制開關K接通瞬間之前,流過儲能電感L中的電流。當開關電源工作于臨界連續電流狀態時,i(0) = 0 ,由此可以求得流過儲能電感L的最大電流為:

在開關關斷Toff期間,控制開關K關斷,儲能電感L把電流iLm轉化成反電動勢,與輸入電壓Ui串聯迭加,通過整流二極管D繼續向負載R提供能量,在此期間儲能電感L兩端的電壓eL為:

式中負號表示反電動勢eL的極性與(1-43)式相反,即:K接通與關斷時電感的反電動勢的極性正好相反。對(1-46)式進行積分得:

式中i(Ton+)為控制開關K從Ton轉換到Toff的瞬間之前流過電感的電流,i(Ton+)也可以寫為i(Toff-),即:控制開關K關斷或接通瞬間,之前和之后流過電感L的電流相等。實際上(1-47)式中的i(Ton+)就是(1-45)式中的iLm,因此,(1-9)式可以改寫為:

當t = Toff時iL達到最小值。其最小值為:

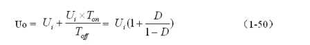
當開關電源工作于臨界連續電流狀態時,流過儲能電感的初始電流i(0)等于0(參看圖1-13),即:(1-49)式中流過儲能電感電流的最小值iLX等于0。因此,由(1-45)和(1-49)式,可求得反轉式串聯開關電源輸出電壓Uo為:

一般,并聯式開關電源的輸出電壓Uo都是取自輸出電壓uo脈沖電壓的幅值Up ,經整流濾波以后儲能濾波電容C兩端的輸出電壓基本就是Up ,即:

這里特別指出:(1-50)和(1-51)式的結果,雖然是以開關電源工作于臨界連續電流狀態的條件求得,但對于開關電源工作于連續電流狀態或斷流狀態同樣成立,因為,輸出電壓Uo只取其峰值電壓Up,而不是取其平均值。
另外,并聯式開關電源輸出電壓uo的平均值Ua與輸入電壓的大小相等,即:

由于其輸出電壓uo的幅值等于輸入電壓Ui與儲能電感L產生反電動勢eL之和,因此,并聯式開關電源一般都是取其輸出電壓uo的幅值Up作為輸出(電壓幅值的提取方法留待后面詳細討論)。所以,并聯式開關電源屬于升壓型開關電源。雖然并聯式開關電源輸出電壓的幅度比輸入電壓可以提高,但其輸出電壓的平均值Ua與控制開關K的占空比D的大小無關,即:并聯式開關電源輸出電壓的平均值Ua永遠等于輸入電壓Ui 。[page]
并聯開關電源儲能電感的計算
與前面計算反轉式串聯開關電源中儲能電感的數值方法基本相同,計算并聯式開關電源儲能電感也是從流過儲能電感的電流為臨界連續電流狀態著手進行分析。并聯式開關電源中的儲能電感與反轉式串聯開關電源中的儲能電感工作原理基本一樣,都是在控制開關K關斷期間才產生反電動勢向負載提供能量,因此,流過負載的電流只有流過儲能電感電流的四分之一。
根據(1-45)式:

(1-45)式可以改寫為:

式中Io為流過負載的電流,當D = 0.5時,其大小等于最大電流iLm的四分之一;T為開關電源的工作周期,T正好等于2倍Ton。
由此求得:

或:

(1-54)和(1-55)式,就是計算并聯式開關電源儲能電感的公式。同理,(1-54)和(1-55)式的計算結果,只給出了計算并聯開關電源儲能濾波電感L的中間值,或平均值,對于極端情況可以在平均值的計算結果上再乘以一個大于1的系數。
對于電感取不同數值和在不同的占空比狀態下工作的情況分析,請參考前面關于“反轉式串聯開關電源儲能電感的計算”內容的論述。
并聯式開關電源儲能濾波電容的計算
并聯式開關電源儲能濾波電容的計算,可以參考前面串聯式開關電源或反轉式串聯開關電源中儲能濾波電容的計算方法,同時還可以參考圖1-6中儲能濾波電容C的充、放電過程。
這里要特別注意的是,并聯式開關電源與反轉式串聯開關電源中的儲能電感一樣,僅在控制開關K關斷期間才產生反電動勢向負載提供能量,因此,即使是在占空比D等于0.5的情況下,儲能濾波電容器充電的時間與放電的時間也不相等,電容器充電的時間小于半個工作周期,而電容器放電的時間則大于半個工作周期,但電容器充、放電的電荷是相等的,即電容器充電時的電流大于放電時的電流。
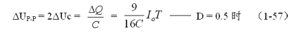
從圖1-13可以看出,并聯式開關電源,流過負載的電流比串聯式開關電源流過負載的電流小一倍,流過負載的電流Io只有流過儲能電感最大電流iLm的四分之一。在占空比D等于0.5的情況下,電容器充電的時間為 ,電容充電電流的平均值為 ,或 ;而電容器放電的時間為 ,電容放電電流的平均值為0.9 Io。因此有:

式中ΔQ為電容器充電的電荷,Io流過負載的平均電流,T為工作周期。電容充電時,電容兩端的電壓由最小值充到最大值(絕對值),相應的電壓增量為2ΔUc,由此求得電容器兩端的波紋電壓ΔUP-P為:

由此求得:

或:

(1-58)和(1-59)式,就是計算并聯開關電源儲能濾波電容的公式(D = 0.5時)。式中:Io是流過負載電流的平均值,T為開關工作周期,ΔUP-P為濾波輸出電壓的波紋,或電壓紋波。一般波紋電壓都是取電壓增量的峰-峰值,因此,當D = 0.5時,波紋電壓等于電容器充電的電壓增量,即:ΔUP-P = 2ΔUc 。
同理,(1-58)和(1-59)式的計算結果,只給出了計算并聯式開關電源儲能濾波電容C的中間值,或平均值,對于極端情況可以在平均值的計算結果上再乘以一個大于1的系數。
當開關K工作占空比D小于0.5時,由于流過儲能濾波電感L的電流會不連續,電容器放電的時間將遠遠大于電容器充電的時間,因此,開關電源濾波輸出電壓的紋波將顯著增大。另外,開關電源的負載一般也不是固定的,當負載電流增大的時候,開關電源濾波輸出電壓的紋波也將會增大。因此,設計開關電源的時候要留有充分的余量,實際應用中最好按(1-58)式計算結果的2倍以上來計算儲能濾波電容的參數。




