- ASD主電路結構
- ASD原理及控制策略
- 基于EMTDC/PSCAD仿真與實驗
- 采用AC-DC-AC模式
- 基于IGBT的三相電壓源逆變
- 采用充電電阻R限制SC的充電電流
利用儲能系統抵御電能質量擾動是目前最直接、最可靠的途徑,可以考慮的儲能設備有蓄電池、超導線圈、飛輪及電容器等。不過短時供電中斷及電壓暫降的持續時間很短,一般不超過幾秒數量級,但是出現的頻度較高。而在短時大功率應用方面超級電容的非常明顯的優越性。
超級電容也稱為電化學電容,它具有優良的脈沖充放電和大容量儲能性能,單體的容量目前已經做到萬法拉級,是一種介于靜電電容器與電池之間的新型儲能元件。超級電容最大充放電性能由活性物質表面的離子取向和電荷轉移速度控制,因此可在短時間內進行電荷轉移,得到很高的放電比功率;同時,由于電極上沒有發生決定反應速度與限制電極壽命的活性物質的相應變化,因此它具有很好的循環壽命。因而受到日本、美國、歐盟、俄羅斯等國家的高度重視。
目前,超級電容與各類動力電池配合使用組成的復合電池在電動汽車的領域已經進入實用化階段[1],日本在電氣機車驅動電源、短時UPS等應用方向進行了研究,分別開發出了80kVA和50kVA實驗樣機。
目前國外對ASDride-through的研究開展得很熱烈,一些文獻介紹了采用不同DC/DC變換拓撲提取儲能元件能量的中、小功率(3~5kW)實驗樣機的研究情況,但很難實現較大容量。隨著超級電容設計技術不斷提高及單位容量價格的下降,利用超級電容直接支撐直流母線電壓構成超大容量ASD裝置已經成為可能。
在能源結構必須調整的背景下,我國的ASD市場極大,特別是高壓大容量的變頻調速裝置,而ASD抵御電能質量擾動領域的研究尚未引起國內研究、生產部門足夠的重視,在該領域開展研究有重要的理論及應用意義。
本文提出了一種非常實用、易于大容量化的基于超級電容儲能的ASD結構,通過仿真及實驗研究驗證了所提拓撲結構和控制策略消除電能質量擾動對ASD影響的正確性及有效性。
主電路結構
ASD主電路采用如圖1所示的AC-DC-AC模式,儲能元件直接連接到DC母線上。在系統電壓質量低于設定標準時從儲能單元汲取電能,再由逆變單元供給電機負荷,以實現ASD逆變部分對電網側電能質量問題的完全免疫以及對系統故障的零延時響應。

圖1.配置超級電容的ASD主電路結構圖
圖中,SC為超級電容(SuperCapacitor),R為SC充電電阻,D為SC放電二極管,Cd為直流平波電容器,Sa~Sc為IGBT器件,L0及C0為輸出濾波器的電感和電容。交流輸入側采用Y/Y/D接線的三繞組輸入變壓器及兩組三相不控整流電路構成12脈波整流系統,注入系統的諧波電流次數為12k±1,數值高,因此在無特殊要求場合,不用考慮設置濾波電路。
另外,兩個整流器串聯后輸出到直流母線,可以提高直流母線電壓,使得逆變器可以在較大的電壓范圍內工作。整流器中點連接到平波電容、超級電容及輸出濾波器電路的中點,利用整流電路鉗位平波電容,電壓可以方便的實現上、下電容均壓目的。
由于超級電容容量較大,一般為直流平波電容的幾百倍以上(根據儲能要求配置),因此若不采取措施,上電時會導致極大涌流,對輸入變壓器和整流電路安全運行造成威脅。
圖1中采用充電電阻R限制SC的充電電流,而平波電容Cd的上電充電電流由輸入變壓器的漏抗限制。綜合考慮短時供電中斷及電壓暫降發生的頻度、充電電阻容量等因素,SC充電回路時間常數一般取十幾分鐘數量級。充電的SC相當于在直流母線上增加一個負載,而充滿電的SC使得直流母線電壓非常平穩,設計上可以大大減小平波電容Cd的容量。
原理及控制策略
圖1所示的ASD是基于IGBT的三相電壓源逆變器,超級電容通過放電二極管連接到直流母線上。開關器件Sa~Sc構成ASD逆變器,由于設置了儲能系統,可以在系統發生供電中斷及電壓暫降時,短時間內向負荷提供有功功率。
由于不需要檢測、計算電能質量擾動、電網電壓同步等信號,因此控制策略上比較簡單,即只需采樣直流母線電壓,判斷其是否處于逆變器正常運行允許范圍內,確定能否向負載提供電源。由DSP控制器自行產生電壓指令,底層采用SPWM控制對逆變器開關器件控制信號進行調制。
[page]
儲能配置
超級電容儲存的能量表示為:
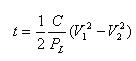
式中,C為超級電容的電容值,Vsc為超級電容端電壓。其對負荷提供恒定有功功率的持續時間表示為:
(2)式中,PL為超級電容輸出的恒定有功功率,V1為超級電容初始端電壓,V2為維持正常工作的最低端電壓。由式(2)可知,當超級電容釋放儲能的50%時,其端電壓下降到初始電壓的70%。因此根據特定負荷(PL)、斷電后需要ASD維持供電時間(t)、故障初始時刻直流母線電壓(V1)、逆變器正常工作需要的最小直流母線電壓(V2)可以唯一確定超級電容的的容量值C。
仿真與實驗
我們研制了15kVA如圖1所示的配置了超級電容儲能的ASD裝置,并進行了大量數字仿真及物理實驗。仿真基于EMTDC/PSCAD。為了清楚地觀察效果,超級電容容量取得較小,為5000mF。圖2、圖3分別為系統發生短時供電中斷ASD運行的仿真、實驗結果。

圖2.系統發生短時供電中斷時,ASD運行的仿真結果
上:系統A相電壓(kV);中:負荷A相電壓(kV);下:直流母線電壓(kV)

圖3.系統發生短時供電中斷時,ASD運行的實驗結果
上:負荷A相電壓;下:系統A相電壓
可見在系統發生短時斷電情況下,ASD仍然能夠通過利用超級電容的儲能維持逆變器的正常工作,消除了短時供電中斷對逆變器的影響,極大提高了供電可靠性。當然,對電壓暫降等其他電能質量問題效果是一樣的。圖4為系統發生電壓暫降時ASD運行的實驗波形。

圖4.系統發生電壓暫降時,ASD運行的實驗結果
上:負荷A相電壓;下:系統A相電壓
本文提出了基于超級電容儲能的ASD裝置抵御電網電能質量擾動的實用方案。ASD采用AC-DC-AC模式,輸入側采用12脈動不控整流結構,一方面減小輸入諧波電流,同時可以方便地提高直流母線電壓,另一方面,多相整流的雙整流器中點直接將上下直流電容電壓鉗位在整流輸出電壓,大大簡化了中點電位的控制。
超級電容模塊接在直流母線上,在系統發生短時供電中斷或電壓暫降時,由超級電容儲能供給負載有功支持。數字仿真及物理實驗驗證了所提拓撲結構和控制策略消除電能質量擾動對ASD影響的正確性及有效性。




