- 激光管(LD)的電源系統構成
- 激光管(LD)的電源工作原理分析
- 增大電感、減小ton都可以減小紋波
- 采用200kHz的工作頻率
1系統構成
裝置輸入電壓為24V,輸出最大電流為20A,根據串聯激光管的數量輸出不同電壓。如果采用交流供電,前端應該采用AC/DC作相應的變換。該裝置主要部分為同步DC/DC變換器,其原理圖如圖1所示。
[page]Vin為輸入電壓,VM1、VM2為MOSFET,VM1導通寬度決定輸出電壓大小,快恢復二極管和VM2共同續流電路,整流管的導通損耗占據最主要的部分,因此它的選擇至關重要,試驗中選用通態電阻很低的M0SFET。電感、電容組成濾波電路。測量電阻兩端電壓與給定值比較后,通過脈沖發生器產生相應的脈寬,保持負載電流穩定。VM1關斷,快恢復二極管工作,快恢復二極管通態損耗大,VM2接著開通續流,減少系統損耗。
2工作原理
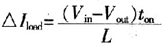
VM1導通ton時,可得:
,電流紋波為:
;VM1關斷,電流通過VD續流,接著VN2導通。由于VM2的阻抗遠小于二極管阻抗,因此通過VM2續流。VMl、VN2觸發脈沖如圖2所示。圖2中td為續流二極管導通時間。
二極管消耗的功率為P=VtdI0。一般快恢復二極管壓降0.4V,當電流20A時,二極管消耗功率為0.8W。如采用MOSFET,則消耗的功率將小很多。本實驗采用威世半導體公司的60A的MOSFET,其導通等效電阻為0.0022Ω。當電流為20A時,消耗功率約為0.088W。
由電流紋波公式可知,增大電感、減小ton都可以減小紋波。為了不提高電感容量,實驗中采用200kHz的工作頻率,其中電感選用4.8-μH,根據公式可得激光管壓降2V時紋波電流約為1000mA。
系統采用了電流負反饋電路,以適應激光二極管的要求。當負載變化,電流略大于給定電流時,減小ton寬度,電壓降低。電流略小于給定電流時,增加ton寬度,這樣可以維持電流穩定。圖3所示為脈沖發生器結構。
[page]圖3中,R1,R2為電壓測量電阻,Rc為電流測量電阻。調節R1可以設定最大輸出電壓。Rc限制最大輸出電流。當最大電壓或電流其中一個達到給定值,則脈沖寬度最大。這樣可以保證負載正常工作。
其仿真結果如圖4所示。

3實驗結果
實驗曲線如圖5所示,實驗數據為輸入電壓12V,輸出電壓2V左右,測量電阻0.0025Ω,最大輸出電流20A。

實驗中用50A的2個二極管串聯作為負載,輸入電壓12V時,不同電流下輸出及效率如表1所示。







