中心議題:
- 大功率直流電源控制系統工作原理
- 大功率直流電源控制系統工作原理圖
- 通用觸發板簡介
摘 要:本文介紹了以8098單片機作主控單元的大功率直流電源,該系統中采用WATCHDOG的抗干擾技術和鎖相環(PLL)控制原理,文章闡述了電力系統根據現場情況要求下,如以電力系統對電池充電為例的7種工作方式,并詳細討論了利用軟件實現的PI調節方法。
0 引言
在大功率直流電源中,主電路一般采用晶閘管三相全控橋式整流電路,其關鍵在于如何準確、可靠、穩定地控制晶閘管的導通角。
目前,大功率直流電源現場應用中最為普遍的控制方式大都采用KC或KJ系列小規模集成電路,即采用三相鋸齒波信號和直流控制信號相比較獲得的移相信號。然而,三相鋸齒波信號的斜率、占空比、幅度等與每相的器件參數密切相關,并且比較信號中小的干擾可能造成較大的相移誤差,因而電路的可靠性和自動平衡能力較差。
利用單片機作為控制電路,根據三相全控橋觸發脈沖之間的邏輯關系,直接產生六相高度均衡的觸發脈沖,可以克服KC、KJ系列電路均衡性差的缺點。但是,由于現場系統工作在強電干擾比較嚴重的場合,為了減小干擾可能引起程序運行紊亂,造成系統失控而引起主電路器件的損壞;另外,為了增強系統的功能,加強人機對話能力,實現顯示、打印、命令輸入、循環檢測、過壓過流保護以及軟件PI調節器等功能,必須采用雙CPU并行工作。但雙CPU并行工作既增加了系統的復雜性,又降低了系統的可靠性和實用性。
為了克服上述局限性,利用8098單片機作主控單元, 并充分利用WATCHDOG的抗干擾性能,采用以鎖相環(PLL)為基本控制原理的通用觸發板作中間界面,構成一種智能化的電廠大功率直流后備電源。圖1示出控制系統框圖。

圖1 控制系統框圖
1 系統工作原理
現以電力系統對電池進行強充、浮充為例,說明系統的工作原理。根據現場要求,系統共設有7種工作方式,見圖1。
1)手動方式(M)
系統工作在開環狀態,利用8098的PWM口,經濾波后輸出一個0~5V的控制電壓信號給觸發板,使整流橋相應輸出電壓為0~300V.該方式主要用于系統主電路的檢修和維護。
2)穩壓方式(V)
穩壓方式(V)又稱浮充方式,系統作穩壓源閉環運行。
為增強系統的靈活性和通用性,利用軟件實現PI調節。
[page]
(1)標準數字PI算法
圖2示出帶數字PI調節器的計算機控制系統方框圖。

圖2 典型計算機控制系統方框圖
該數字PI調節器的Z傳遞函數為:
![]()
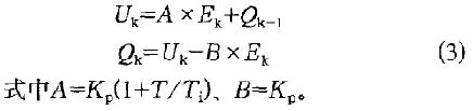
式中:Ki -- 積分系數,Ki= KoT/Ti;T--采樣周期; Ti-- 積分時間常數;Kp-- 比例因子;U(Z)--控制量輸出的z傳遞函數;E(z)- -偏差量的z傳遞函數。
將式(1)展開,可得以下位置式算法:

式中Uo-- 初始值;Uk - - 第k次采樣點獲得的控制量;Ek--第k次采樣點獲得的偏差量;Ej--第j次采樣點的偏差值;k一第k次采樣點。
整理成遞推公式形式:

根據上述遞推公式,可以非常方便地用軟件實現PI調節器。
(2)改進的數字PI算法
標準PI算法一般不能滿足現場要求,比如在開機、停機或大幅度改變設定值時,短時間內系統偏差變化劇烈,容易造成較大的積分積累∑(Ek),使得控制輸出急劇變化,系統超調嚴重,動態性能惡化。
為防止這一現象發生,常用積分分離法、超限削弱積分法和有效偏差法對標準PI算法進行改進,這在隨動系統設計中較為常見。
由于本系統屬于恒值控制系統,要求有軟起和軟停功能,利用上述改進算法已不能滿足要求。為此,采用一種新的恒偏差算法。
恒偏差法和有效偏差法相類似。有效偏差法又叫逆算法。即當控制量Uk越限時,Uk取邊界值Umax或Umin.由該邊界值逆算出偏差值Ek''代替原來的偏差值Ek.然而,在恒偏差法中,是用經過衰減后的Ek''去代替Ek.系統在階躍響應時,實際工作在過阻尼狀態,從而減緩了在起、停時對主電路器件的沖擊。圖3示出兩種算法的階躍輸入響應曲線。其中曲線(a)標準PI算法響應曲線、曲線(b)恒偏差法響應曲線。

圖3 系統階躍響應曲線[page]
(3)PI參數的整定
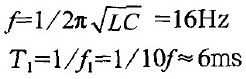
①采樣周期T
由于主電路輸出濾波網絡決定了系統輸出紋波的最大截止頻率f,所以根據香農(Snon)定理可以決定采樣頻率的上限f1 =2f 工程上一般取f1=10f.
由于主電路參數已知,可求得:

其下限T2由8098軟件執行時間決定。若采用12M晶振,平均每條語句執行時間為2us,程序運行大概需要500條語句,那么T2=1ms.所以:
1ms≤ T≤6ms
最終可通過現場調試來選擇了1的大小。
② 比例因子Kp及積分時間常數Ti工程上常用臨界比例度法,對常數Kp和Ti進行整定。即在閉環條件下,先暫時去掉積分作用,逐漸增大比例增益,直到閉環系統達到臨界穩定狀態,發生持續振蕩為止。記下此時的臨界增益Ku和振蕩周期Tu ,通過查表得到Kp=和Ti的近似值,然后由整機調試進行修正。
本系統穩壓閉環實驗測定結果為:Ku =6,Tu=12.0ms.
查表可得:Kp=0.45 x Ku=2.7、Ti=Tu÷1.2=10ms.
通過整機調試,可得出遞推公式中參數A 、B的值為:A=3、B=2.
(4)算法
為簡化程序設計,在進行8098軟件編程時,采用無符號數算法。
3)穩流方式(I)
穩流方式又稱強充方式,系統作電流源閉環運行,原理同上,不同的是積分時間常數要小一些,調節速度較快。
實驗數據如下:Tu=6.0ms,Ti=5ms、A=4,B=2.
4)穩壓穩流自動轉換(V/I)
當電池虧電時,系統以強充方式工作,電池電壓逐漸升高。當超過設定值時,改為浮充方式。
即系統能根據負載情況自動選擇充電模式。圖4示出典型的二階段充電曲線。

圖4 蓄電池二階段充電曲線[page]
5)工作方式記憶(M1.M2)
系統可存儲兩組常用數據,即工作方式、電壓電流給定值、穩壓穩流轉換值、過壓過流值。
掉電時還能保護當前的工作記錄。
6)軟起、軟停方式(SS)
按下該鍵,系統工作在軟停方式。觸發板將控制脈沖相位拉至最大,然后封鎖脈沖輸出。該鍵彈起,為軟起方式。控制輸出由最小慢慢升至給定值。
7)電池檢測方式(TEST)
系統能循環檢測電池電壓,由數碼管進行顯示,也可通過串行口打印輸出,并有報警提示。
2 系統工作流程圖
系統上電后,首先對單片機的外圍接口進行檢查,以確保人機對話通道暢通。然后發出開機信號,對LED、給定寄存器等進行復位,隨后產生頻率為2Hz的方波信號,作為系統的給定輸入。
為進入上述7種工作方式,系統共設有三種途徑。
途徑I為掉電重起方式。即系統在掉電后,能記錄當前工作方式,來電后直接返回到原狀態。
該途徑為系統正常工作時的進入通道。
途徑II、III一般作調試用。途徑II是通過M 、M,進入相應的工作方式,而用戶在設置給定值、轉換值和保護值時要用到途徑III.
系統進入相應工作方式后,可通過中斷方式接受用戶命令,更換當前工作狀態(中斷程序框圖省略)。圖5示出系統工作流程圖。

圖5 系統工作流程圖[page]
3 通用觸發板簡介
晶閘管通用觸發板是以40芯CMOS大規模集成電路為核心,利用鎖相環控制技術(PLL),根據壓控振蕩器(VCO)鎖定的三相同步信號間的邏輯關系設計出的一種晶閘管觸發系統。給定0~5V的直流控制信號,便能產生0°~180°移相范圍的三相、六相或十二相強觸發脈沖。由于采用上述新技術,克服了KC、KJ系列同類產品的諸多缺點,使該觸發板輸出的控制脈沖具有高對稱性、高均衡性。另外,該板的抗干擾能力和多種附加功能也大大強化了該板的實用性, 因而具有極高的性能價格比,適用于各種整流、逆變、交流側原邊控制等大功率晶閘管控制電路。
該觸發板無需同步變壓器,具有相序自動測控核對能力,并具備缺相保護功能和脈沖禁止接口;通過撥碼開關可提供雙30°、120°寬的高頻調制觸發脈沖。實驗證明,該脈沖可直接驅動1000A以上的晶閘管,是現場應用中晶閘管觸發系統的理想產品。
4 結束語
該系統的特點在于軟件PI調節器的靈活應用。一方面,可就多種PI算法進行綜合比較,并驗證一些新的算法。另一方面,基于系統的通用性,可就不同的被控對象給出不同的控制模式和參數。例如100A和500A時的蓄電池,就要有不同的PI調節參數;既使容量相同而生產廠家不同,所要求的參數也不一致,這是由電池內部化學反應速度決定的。
系統的另一個特點是通用觸發板的使用。它介于計算機PI調節器與晶閘管主電路之間,作為一個很好的緩沖界面,能保證調節失控時系統的安全可靠。另一方面,8098單片機的WATCHDOG也強化了系統的抗干擾能力,使得該系統非常適用于現場控制。





