【導讀】上一節我們學習的是反激變換器滿足的基本關系式,接下來繼續學習隔離輸出的反激式變換器和離線式反激變換器的設計及計算。本文是網友根據自己所學知識和實際經驗所得,如有不當,歡迎指正!希望對學習開關電源設計的朋友們有所幫助。
2.隔離輸出的反激式變換器電壓和電流關系
如果將圖一中的電感換成耦合電感,使輸入和輸出加在不同的繞組上,得到圖四a所示的電路。為了方便討論,我們假設L1和L2的線圈匝比為n,耦合系數為1。當開關閉合時,電源輸入端向電感L1中存儲能量,根據同名端的關系,L2中感應出上正下負的電壓,二極管D反偏。在開關關斷前的一瞬間,L1中的電流上升到最大值,在開關關斷瞬間,L1與輸入端沒有通路,為了阻止磁通量的突變,L2上的電壓反向,使得輸出二極管正偏導通,存儲在磁芯中的磁場能轉移到輸出電容和負載中。

圖四:隔離輸出的反激變換器原理圖
圖四a給出的電路就是離線式反激變換器的雛形了,在實際應用中,我們往往把開關管放在電源輸入的負端,并且輸出為上正下負看起來也比較習慣,于是得到了圖四b所示的反激式變換器基本結構。
首先我們討論圖四b所示電路中L1和L2中的電流,圖五給出了相應的波形圖。開關關斷瞬間,磁通量不能突變,所以L2中的電流等于關斷前一瞬間L1電流值的n倍(n為L1和L2線圈匝比)。開關閉合瞬間,為了阻止磁通量突變,L1中電流等于閉合前一瞬間L2中電流的1/n.。又因為在開關閉合期間和開關斷開期間L1和L2中電流都是線性變化的,所以我們可以得出如下的關系式:

從上面的關系式進一步得到:

閱讀上一節:http://m.aolaiaolisita.com/power-art/80021928
[page]
上面式子中的n=N1/N2,其中N1為L1的線圈匝數,N2為L2的線圈匝數。

圖五:隔離輸出的反激式變換器初次級電感電流波形
接下來討論L1和L2的電壓關系,圖六給出了相應的波形圖。開關閉合期間,根據同名端和匝比的關系,L2上感應出上負下正的電壓,大小為Vin/n;開關關斷期間,L2上的電壓等于輸出電壓加上二極管電壓正向壓降,極性為上正下負,設這個電壓為VL2,則根據同名端和匝比關系,L1上的感應電壓為nVL2,極性變為上負下正。我們把這個電壓叫做次級反射電壓Vor。

圖六:隔離輸出的反激變換器輸入輸出電壓波形
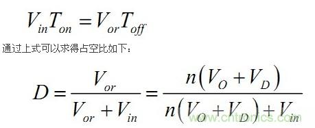
前面提到,為了維持變換器的穩定工作,開關閉合期間電感上電壓與閉合時間的乘積應等于開關斷開期間電感上電壓與斷開時間的乘積。對于耦合電感,我們計算時將開關閉合和斷開期間的電壓全部這算到初級來計算的話,就有如下關系:

不難看出,對于當輸入電壓最低時,占空比最大。在反激式開關電源中,最大占空比是一個很重要的參數,對于連續模式的反激式變換器,一般情況下,最大占空比限定在0.5以內,超過0.5的話,容易出現次諧波振蕩。
[page]
不可忽略的是,實際工程中L1不可能和L2形成理想的全耦合,L1中有少量的磁通不能完全耦合到L2中,等效為L1上串聯一個電感量較小的電感,也就是常說的漏感Lleak。在開關斷開瞬間,這部分不能耦合到L2中的磁通也不能突變,于是Lleak試圖通過將電壓反向來續流,此時開關閉合,沒有續流通道,于是Lleak上感應出一個很高的尖峰電壓Vpk,這個電壓和上面的反射電壓方向相同。在開關斷開的瞬間,電源輸入電壓、次級反射電壓和漏感尖峰電壓一起加在開關管上,由于漏感尖峰電壓通常很高,能夠瞬間造成開關管的損壞,實際電路中一般要進行鉗位處理。
3.離線式反激變換器的電路原理
圖七給出了一個輸出5V/2A的電源適配器用到的離線式反激變換器完整的原理圖,主芯片型號為RM6203(西安亞成微電子),芯片內部集成了完整的控制電路和一個800V的高壓功率BJT。下面我們以這個電路為例分析外圍電路的基本作用,對于使用其他控制芯片的電路,原理上大同小異。

圖七:輸出5V/2A的離線式反激變換器
輸入的交流市電經過保險絲F1后進入由C3和T2構成的共模濾波器,濾除電網中的共模干擾信號,然后經過D2全橋整流和電容C6濾波后得到較為平坦的直流電。直流電通過R2和R5加在內部開關功率管的基極,向基極注入電流,開關管的集電極(也就是芯片的OC引腳)有電流流過,初級繞組開始有電流流過。同時直流電通過R2和R5向電容C8開始充電,當C8上的電壓達到IC工作的啟動電壓時,IC開始工作。
IC進入正常工作后,在開關關斷期間,輔助供電繞組Na上感應出的電壓使D5導通,輔助繞組為IC供電,并將部分能量儲存在電容C8中,待下一周期開關導通期間,電容為IC供電。
圖七電路中,R4、C5和D3并聯在變壓器的初級繞組上,這就是常見的一種吸收漏感尖峰的電路結構,RCD吸收電路。當開關管關斷瞬間,初級線圈的漏感以及PCB線路的寄生電感感應出很高的尖峰電壓時,D3會正偏導通,由于電容C5上的電壓不能突變,于是尖峰電壓被箝位在一定的范圍內,保護開關管不被損壞。開關斷開期間C5上增加的能量會在開關閉合期間消耗在R4上,防止C5上的電壓不斷升高。
圖七中的電容C10用于設置IC內部的振蕩器工作頻率,C1并聯在初次級之間用于減小差模干擾。R10和R11接在開關管發射極和初級地之間,當次級電流增大時,由第二節推出的關系可知,初級開關的峰值電流也會成比例增加,導致R10和R11上的電壓升高,IC通過檢測這個電壓判斷次級是否出現過流或者短路,如果是,IC將執行相應的保護動作。
[page]
接下來我們看次級電路。次級繞組Ns輸出后的基本結構和第二節討論的完全一致,增加的輸出LC濾波器L1和C7用于減小紋波,并聯在輸出二極管上的RC電路用于吸收輸出二極管上的尖峰。

圖八:輸出二極管的波形
在高速開關下,二極管導通瞬時,電流變化率很大,在導通瞬間,二極管呈現較大的正向壓降(如圖八b),又由于二極管結電容、次級漏感和PCB線路寄生電感的存在,二極管上可能會會出現振蕩(如圖八c)。正向電壓過沖或者電壓的振蕩都會導致二極管的損耗增加,在輸出電流較大時,這一損耗遠遠超過二極管的導通損耗,造成二極管過熱。為了一定程度抑制振蕩或者減小過沖,通常在二極管上并聯RC吸收網絡(圖六所示的R1和C2),引入這一這一電路后,二極管的損耗被部分轉移到電阻上。
最后簡單討論反饋環路。通常的離線式反激變換器使用TL431加光耦的形式作為次級反饋電路。TL431的內部等效電路如圖九所示。它實際上包含了一個電壓基準源和一個誤差放大器。

圖九:TL431內部等效電路
分析圖七所示電路,當某種因素(如電網電壓波動、負載電流的增加等)導致輸出電壓降低時,由R9和R12得到的TL431的REF端電位降低,圖九所示的等效電路中BJT的基極電流相應減小,從而集電極電流減小,流過TL431陰極的電流也減小,光耦的輸入電流(即發光二極管電流)隨之減小,最終導致連接初級部分的光耦輸出端(光敏三極管集電極)電流減小,集電極電位升高。至此,次級電壓減小的信號反饋到了初級,初級通過監測光耦輸出端的集電極電位的升降來判斷輸出電壓是降低還是升高。如果降低,初級將通過增大開關管的導通時間(對于PWM模式)或者開關頻率(對于PFM模式)來是輸出電壓穩定;反之亦然。
相關閱讀:
低EMI、高效的零電壓開關反激式開關電源設計
http://m.aolaiaolisita.com/power-art/80021603
經驗分享:開關電源的常見故障及維修技巧
http://m.aolaiaolisita.com/power-art/80021622
分享:簡單低成本的開關電源保護電路設計
http://m.aolaiaolisita.com/cp-art/80021655
反激式變壓器開關電源電路參數計算——陶顯芳老師談開關電源原理與設計
http://m.aolaiaolisita.com/power-art/80021774




