【導讀】工程師再設計電路時會遇到對電流進行轉換的情況,這就需要逆變電源大顯身手,高頻逆變電源自然首當其沖。高頻逆變電源能將直流電源轉換成交流電源,滿足設計需求。本文要介紹的就是高頻逆變電源的單片機。
消諧PWM控制
PWM控制技術的主要作用,是為了應對逆變電源當中的諧波問題,高頻PWM控制不僅可以有效地減小輸出電壓的諧波含量,而且可以方便地調節輸出電壓的大小。消諧控制的基本思想,是以PWM脈沖波形的切換點相位作為未知數,通過PWM脈沖的傅里葉級數分析,獲得輸出電壓的基波分量和各次諧波分量的表達式,然后根據基波和各次諧波幅值的要求,建立一個與未知數個數相等的方程組,通過求解方程組,獲得各個脈沖的切換時刻,并按該時刻實施控制,則輸出電壓的基波和各次諧波幅值將會是期望值。一般情況下,總是令基波幅值為一個期望的非零值,而令各次諧波的大小為零,這樣經過消諧PWM控制方程的逆變器將不含指定的低階諧波值。
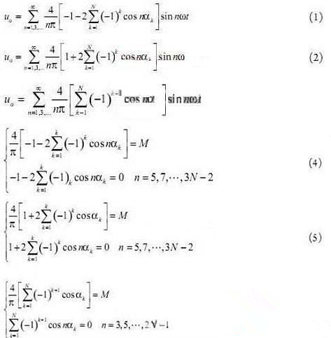
假定逆變器輸出PWM波形在四分之一周期內有N個開關切換點,每個開關切換點對應的相位角分別為(ai=1,2,…,N),且有0≤a1。

式(1)為雙極性調制且開關角個數N為奇數時的表達式,式(2)為雙極性調制且開關角個數N為偶數時的表達式,式(3)為單極性調制時的表達式。設逆變器輸出基波電壓幅值與輸入直流母線電壓比值為M,假定式(1)、式(2)對應的PWM波形用于三相逆變器,式(3)對應的PWM波形用于單相逆變器,則式(1)~(3)式可得出相對應的消諧方程分別如(4)~(6)式所示。求解上述方程即可得到一組開關切換角,將此切換角轉化為單片機定時計數脈沖數據表保存在程序存儲器中,供實時控制時查詢。
[page]
控制系統

圖1 逆變電源的硬件電路基本框圖
控制系統是按照給定信號的要求,控制并調節主電路開關管的開通與關斷,從而控制主電路產生期望的輸出電壓,并使輸出電壓盡可能地跟隨給定的電壓信號。圖1給出了逆變電源的硬件電路基本框圖。觸發脈沖的產生采用數字電路的方法,完全可以用控制器的軟件程序來實現其功能,節約了成本,而且相比較于模擬電路,這種方法的抗干擾能力較強。
逆變電路控制系統以AVR單片機為核心,其功能主要是產生全橋逆變電路中開關管的驅動信號,同時通過實時采樣線路電壓和電流來實現逆變電源的調節和保護。對于直流母線側的輸入電壓信號,采用霍爾傳感器變壓后,電壓信號經過由運算放大器組成的射級跟隨器,送到窗口比較器,窗口的上下兩閾值分別對應過電壓和欠電壓限值,如果在窗口范圍內則電壓正常,否則輸出過電壓或欠電壓故障信號;對于直流母線側的電流信號,采用采樣電阻對其進行測量,采樣電阻兩端電壓送運算放大器放大和抗干擾濾波處理后,與設定的過電流閾值比較,實現逆變器的輸出或內部電路過電流的報警和處理。以上兩種保護信號經過邏輯與處理,送到單片機的外部中斷請求輸入引腳,無論何種情況引起的故障信號,均可以向單片機提出中斷請求,單片機響應中斷,通過封鎖所有開關管的驅動信號來實現保護,同時給出故障指示。
控制器采用8位AVR單片機。8位AVR MCU具備1MIPS / MHz的高速運行處理能力。超功能精簡指令集(RISC),具有32個通用工作寄存器,克服了如8051 MCU采用單一ACC進行處理造成的瓶頸現象??焖俚拇嫒〖拇嫫鹘M、單周期指令系統,大大優化了目標代碼的大小、執行效率。作輸出時與PIC的HI/LOW相同,可輸出40mA(單一輸出),作輸入時可設置為三態高阻抗輸入或帶上拉電阻輸入,具備10~20mA灌電流的能力。片內集成多種頻率的RC振蕩器、上電自動復位、看門狗、啟動延時等功能,外圍電路更加簡單,系統更加穩定可靠。片上資源豐富。將逆變器的期望輸出頻率給定值以編碼的方式輸入控制器,CPU根據讀入的頻率代碼確定應選擇的消諧PWM控制數據,并通過內部定時控制,按此規定的PWM數據,從CPU的I/O端口輸出逆變橋開關管的驅動信號,控制開關器件的導通和關斷,實現消諧控制。
系統軟件
逆變電源的控制軟件由主程序、定時器中斷服務程序、外部中斷服務程序三個部分組成。主程序用來初始化單片機的工作方式,從I/O口讀入逆變電源期望輸出頻率給定值的編碼,當給定輸出頻率發生變化時,其編碼值會隨之變化,此時修改頻率變化標志,并在定時器中斷服務程序按新的消諧PWM開關切換數據進行定時控制,實現驅動信號的切換。定時器中斷服務程序主要完成對開關切換數據的定時控制,輸出相應的開關管驅動信號,實現消諧PWM控制。外部中斷服務程序主要實現逆變電源的故障保護功能,當故障中斷請求發生時,單片機及時響應中斷,在確認有故障發生時,封鎖驅動信號,并輸出故障代碼。
對于逆變電源中的單片機設計,本篇文章通過三個知識點進行了全面詳盡的講解,不僅對PWM控制的基本原理進行講解,還給出了三相逆變電源的主電路構圖,希望大家在閱讀過本篇文章之后能對高頻逆變當中的單片機設計方案有進一步的了解。
相關閱讀:
“兩個關鍵點”輕松解決高頻逆變電源變壓器設計
解析處理高頻逆變電源的內外干擾問題
X光機中,高頻逆變電源是如何控制燈絲和電壓的?





