【導讀】開關電源的設計是一份非常耗時費力的苦差事,需要不斷地修正多個設計變量,直到性能達到設計目標為止。本文step-by-step 介紹反激變換器的設計步驟,并以一個6.5W 隔離雙路輸出的反激變換器設計為例,主控芯片采用NCP1015。

基本的反激變換器原理圖如圖 1 所示,在需要對輸入輸出進行電氣隔離的低功率(1W~60W)開關電源應用場合,反激變換器(Flyback Converter)是最常用的一種拓撲結構(Topology)。簡單、可靠、低成本、易于實現是反激變換器突出的優點。
設計步驟

接下來,參考圖 2 所示的設計步驟,一步一步設計反激變換器
1.Step1:初始化系統參數
------輸入電壓范圍:Vinmin_AC 及Vinmax_AC
------電網頻率:fline(國內為50Hz)
------輸出功率:(等于各路輸出功率之和)
------初步估計變換器效率:η(低壓輸出時,η取0.7~0.75,高壓輸出時,η取0.8~0.85)根據預估效率,估算輸入功率:

對多路輸出,定義KL(n)為第n 路輸出功率與輸出總功率的比值:

單路輸出時,KL(n)=1.

2. Step2:確定輸入電容Cbulk
Cbulk 的取值與輸入功率有關,通常,對于寬輸入電壓(85~265VAC),取2~3μF/W;對窄范圍輸入電壓(176~265VAC),取1μF/W 即可,電容充電占空比Dch 一般取0.2 即可。

一般在整流后的最小電壓Vinmin_DC 處設計反激變換器,可由Cbulk 計算Vinmin_DC:


3. Step3:確定最大占空比Dmax
反激變換器有兩種運行模式:電感電流連續模式(CCM)和電感電流斷續模式(DCM)。兩種模式各有優缺點,相對而言,DCM 模式具有更好的開關特性,次級整流二極管零電流關斷,因此不存在CCM 模式的二極管反向恢復的問題。此外,同功率等級下,由于DCM模式的變壓器比CCM 模式存儲的能量少,故DCM 模式的變壓器尺寸更小。但是,相比較CCM 模式而言,DCM 模式使得初級電流的RMS 增大,這將會增大MOS 管的導通損耗,同時會增加次級輸出電容的電流應力。因此,CCM 模式常被推薦使用在低壓大電流輸出的場合,DCM 模式常被推薦使用在高壓 小電流輸出的場合。

圖 4 反激變換器
對CCM 模式反激變換器而言,輸入到輸出的電壓增益僅僅由占空比決定。而DCM 模式反激變換器,輸入到輸出的電壓增益是由占空比和負載條件同時決定的,這使得DCM 模式的電路設計變得更復雜。但是,如果我們在DCM 模式與CCM 模式的臨界處(BCM 模式)、輸入電壓最低(Vinmin_DC)、滿載條件下,設計DCM 模式反激變換器,就可以使問題變得簡單化。于是,無論反激變換器工作于CCM 模式,還是DCM 模式,我們都可以按照CCM模式進行設計。
如圖 4(b)所示,MOS 管關斷時,輸入電壓Vin 與次級反射電壓nVo 共同疊加在MOS的DS 兩端。最大占空比Dmax 確定后,反射電壓Vor(即nVo)、次級整流二極管承受的最大電壓VD 以及MOS 管承受的最大電壓Vdsmax,可由下式得到:

通過公式(5)(6)(7),可知,Dmax 取值越小,Vor 越小,進而MOS 管的應力越小,然而,次級整流管的電壓應力卻增大。因此,我們應當在保證MOS 管的足夠裕量的條件下,盡可能增大Dmax,來降低次級整流管的電壓應力。Dmax 的取值,應當保證Vdsmax 不超過MOS管耐壓等級的80%;同時,對于峰值電流模式控制的反激變換器,CCM 模式條件下,當占空比超過0.5 時,會發生次諧波震蕩。綜合考慮,對于耐壓值為700V(NCP1015)的MOS管,設計中,Dmax 不超過0.45 為宜。

4. Step4:確定變壓器初級電感Lm
對于CCM 模式反激,當輸入電壓變化時,變換器可能會從CCM 模式過渡到DCM 模式,對于兩種模式,均在最惡劣條件下(最低輸入電壓、滿載)設計變壓器的初級電感Lm。由下式決定:

其中,fsw 為反激變換器的工作頻率,KRF 為電流紋波系數,其定義如下圖所示:

對于DCM 模式變換器,設計時KRF=1。對于CCM 模式變換器,KRF<1,此時,KRF 的取值會影響到初級電流的均方根值(RMS),KRF 越小,RMS 越小,MOS 管的損耗就會越小,然而過小的KRF 會增大變壓器的體積,設計時需要反復衡量。一般而言,設計CCM 模式的反激變換器,寬壓輸入時(90~265VAC),KRF 取0.25~0.5;窄壓輸入時(176~265VAC),KRF 取0.4~0.8 即可。
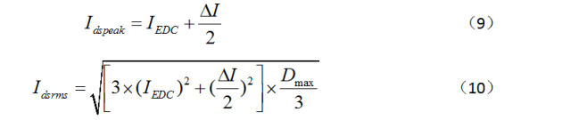
一旦Lm 確定,流過MOS 管的電流峰值Idspeak 和均方根值Idsrms 亦隨之確定:

其中:

設計中,需保證Idspeak 不超過選用MOS 管最大電流值80%,Idsrms 用來計算MOS 管的導通損耗Pcond,Rdson 為MOS 管的導通電阻。

5. Step5:選擇合適的磁芯以及變壓器初級電感的匝數
開關電源設計中,鐵氧體磁芯是應用最廣泛的一種磁芯,可被加工成多種形狀,以滿足不同的應用需求,如多路輸出、物理高度、優化成本等。
實際設計中,由于充滿太多的變數,磁芯的選擇并沒有非常嚴格的限制,可選擇的余地很大。其中一種選型方式是,我們可以參看磁芯供應商給出的選型手冊進行選型。如果沒有合適的參照,可參考下表:


選定磁芯后,通過其Datasheet 查找Ae 值,及磁化曲線,確定磁通擺幅△B,次級線圈匝數由下式確定:

其中,DCM 模式時,△B 取0.2~0.26T;CCM 時,△B 取0.12~0.18T。


6. Step6:確定各路輸出的匝數
先確定主路反饋繞組匝數,其他繞組的匝數以主路繞組匝數作為參考即可。主反饋回路繞組匝數為:

則其余輸出繞組的匝數為:

輔助線圈繞組的匝數Na 為:


7. Step7:確定每個繞組的線徑
根據每個繞組流過的電流RMS 值確定繞組線徑。

初級電感繞組電流RMS:
次級繞組電流RMS 由下式決定:

ρ為電流密度,單位:A/mm2,通常,當繞組線圈的比較長時(>1m),線圈電流密度取5A/mm2;當繞組線圈長度較短時,線圈電流密度取6~10A/mm2。當流過線圈的電流比較大時,可以采用多組細線并繞的方式,以減小集膚效應的影響。

其中,Ac 是所有繞組導線截面積的總和,KF 為填充系數,一般取0.2~0.3.
檢查磁芯的窗口面積(如圖 7(a)所示),大于公式 21 計算出的結果即可。

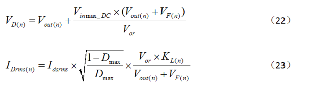
8. Step8:為每路輸出選擇合適的整流管
每個繞組的輸出整流管承受的最大反向電壓值VD(n)和均方根值IDrms(n)如下:

選用的二極管反向耐壓值和額定正向導通電流需滿足:


9. Step9:為每路輸出選擇合適的濾波器
第n 路輸出電容Cout(n)的紋波電流Icaprms(n)為:
選取的輸出電容的紋波電流值Iripple 需滿足:
輸出電壓紋波由下式決定:

有時候,單個電容的高ESR,使得變換器很難達到我們想要的低紋波輸出特性,此時可通過在輸出端多并聯幾個電容,或加一級LC 濾波器的方法來改善變換器的紋波噪聲。注意:LC 濾波器的轉折頻率要大于1/3 開關頻率,考慮到開關電源在實際應用中可能會帶容性負載,L 不宜過大,建議不超過4.7μH。

10. Step10:鉗位吸收電路設計
如圖 8 所示,反激變換器在MOS 關斷的瞬間,由變壓器漏感LLK 與MOS 管的輸出電容造成的諧振尖峰加在MOS 管的漏極,如果不加以限制,MOS 管的壽命將會大打折扣。因此需要采取措施,把這個尖峰吸收掉。

反激變換器設計中,常用圖 9(a)所示的電路作為反激變換器的鉗位吸收電路(RCD鉗位吸收)。
RClamp 由下式決定,其中Vclamp 一般比反射電壓Vor 高出50~100V,LLK 為變壓器初級漏感,以實測為準:


圖 9 RCD 鉗位吸收
CClamp 由下式決定,其中Vripple 一般取Vclamp 的5%~10%是比較合理的:

輸出功率比較?。?0W 以下)時,鉗位二極管可采用慢恢復二極管,如1N4007;反之,則需要使用快恢復二極管。

11. Step11:補償電路設計
開關電源系統是典型的閉環控制系統,設計時,補償電路的調試占據了相當大的工作量。目前流行于市面上的反激控制器,絕大多數采用峰值電流控制控制模式。峰值電流模式反激的功率級小信號可以簡化為一階系統,所以它的補償電路容易設計。通常,使用Dean Venable提出的Type II 補償電路就足夠了。
在設計補償電路之前,首先需要考察補償對象(功率級)的小信號特性。
如圖8 所示,從IC 內部比較器的反相端斷開,則從控制到輸出的傳遞函數(即控制對象的傳遞函數)為:


附錄分別給出了CCM模式和DCM模式反激變換器的功率級傳遞函數模型。NCP1015工作在DCM 模式,從控制到輸出的傳函為:

其中:

Vout1 為主路輸出直流電壓,k 為誤差放大器輸出信號到電流比較器輸入的衰減系數(對NCP1015 而言,k=0.25),m 為初級電流上升斜率,ma 為斜坡補償的補償斜率(由于NCP1015內部沒有斜坡補償,即ma=0),Idspeak 為給定條件下初級峰值電流。于是我們就可以使用Mathcad(或Matlab)繪制功率級傳函的Bode 圖:

在考察功率級傳函Bode 圖的基礎上,我們就可以進行環路補償了。
前文提到,對于峰值電流模式的反激變換器,使用Dean Venable Type II 補償電路即可,典型的接線方式如下圖所示:

通常,為降低輸出紋波噪聲,輸出端會加一個小型的LC 濾波器,如圖 10 所示,L1、C1B 構成的二階低通濾波器會影響到環路的穩定性,L1、C1B 的引入,使變換器的環路分析變得復雜,不但影響功率級傳函特性,還會影響補償網絡的傳函特性。然而,建模分析后可知:如果L1、C1B 的轉折頻率大于帶寬fcross 的5 倍以上,那么其對環路的影響可以忽略不計,實際設計中,建議L1 不超過4.7μH。于是我們簡化分析時,直接將L1直接短路即可,推導該補償網絡的傳遞函數G(s)為:

其中:

CTR 為光耦的電流傳輸比,Rpullup 為光耦次級側上拉電阻(對應NCP1015,Rpullup=18kΩ),Cop 為光耦的寄生電容,與Rpullup 的大小有關。圖 13(來源于Sharp PC817 的數據手冊)是光耦的頻率響應特性,可以看出,當RL(即Rpullup)為18kΩ時,將會帶來一個約2kHz左右的極點,所以Rpullup 的大小會直接影響到變換器的帶寬。

k Factor(k 因子法)是Dean Venable 在20 世紀80 年代提出來的,提供了一種確定補償網絡參數的方法。

如圖 14 所示,將Type II 補償網絡的極點wp 放到fcross 的k 倍處,將零點wz 放到fcross的1/k 處。圖 12 的補償網絡有三個參數需要計算:RLed,Cz,Cpole,下面將用k Factor 計算這些參數:

確定補償后的環路帶寬fcross:通過限制動態負載時(△Iout)的輸出電壓過沖量(或下沖量)△Vout,由下式決定環路帶寬:

-------考察功率級的傳函特性,確定補償網絡的中頻帶增益(Mid-band Gain):

-------確定Dean Venable 因子k:選擇補償后的相位裕量PM(一般取55°~80°),由公式 32 得到fcross 處功率級的相移(可由Mathcad 計算)PS,則補償網絡需要提升的相位Boost 為:
則k 由下式決定:
-------補償網絡極點(wp)放置于fcross 的k 倍處,可由下式計算出Cpole:

-------補償網絡零點(wz)放置于fcross 的1/k 倍處,可由下式計算出Cz:



仿真驗證
計算機仿真不僅可以取代系統的許多繁瑣的人工分析,減輕勞動強度,避免因為解析法在近似處理中帶來的較大誤差,還可以與實物調試相互補充,最大限度的降低設計成本,縮短開發周期。
本例采用經典的電流型控制器UC3843(與NCP1015 控制原理類似),搭建反激變換器。其中,變壓器和環路補償參數均采用上文的范例給出的計算參數。
仿真測試條件:低壓輸入(90VAC,雙路滿載)
1.原理圖

圖 17 仿真原理圖
2. 瞬態信號時域分析

從圖 18 可以看出,最低Cbulk 上的最低電壓為97.3V,與理論值98V 大致相符。





3. 交流信號頻域分析



4. 動態負載波形測試
測試條件:低壓輸入,滿載,主路輸出電流0.1A---1A---0.1A,間隔2.5ms,測試輸出電壓波形。

PCB設計指導
1. PCB layout—大電流環路包圍的面積應極可能小,走線要寬。

2. PCB layout—高頻(di/dt、dv/dt)走線
a. 整流二級,鉗位吸收二極管,MOS 管與變壓器引腳,這些高頻處,引線應盡可能短,layout 時避免走直角;
b. MOS 管的驅動信號,檢流電阻的檢流信號,到控制IC 的走線距離越短越好;
c. 檢流電阻與MOS 和GND 的距離應盡可能短。

3. PCB layout—接地
初級接地規則:
a. 所有小信號GND 與控制IC 的GND 相連后,連接到Power GND(即大信號GND);
b. 反饋信號應獨立走到IC,反饋信號的GND 與IC 的GND 相連。
次級接地規則:
a. 輸出小信號地與相連后,與輸出電容的的負極相連;
b. 輸出采樣電阻的地要與基準源(TL431)的地相連。

PCB layout—實例

總結
本文詳細介紹了反激變換器的設計步驟,以及PCB 設計時應當注意的事項,并采用軟件仿真的方式驗證了設計的合理性。同時,在附錄部分,分別給出了峰值電流模式反激在CCM 模式和DCM 模式工作條件下的功率級傳遞函數。
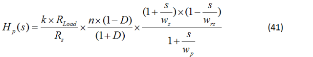
附錄:峰值電流模式功率級小信號
對CCM 模式反激,其控制到輸出的傳函為:
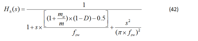
峰值電流模式的電流內環,本質上是一種數據采集系統,功率級傳函由兩部分Hp(s)和Hh(s)串聯組成,其中

Hh(s)為電流環電流采樣形成的二階采樣環節(由Ray Ridley 提出):

其中:

上式中,PO 為輸出總功率,k 為誤差放大器輸出信號到電流比較器輸入的衰減系數,Vout1 為反饋主路輸出電壓,Rs 為初級側檢流電阻,D 為變換器的占空比,n 為初級線圈NP與主路反饋線圈Ns1 的匝比,m 為初級電流上升斜率,ma 為斜坡補償的補償斜率,Esr 為輸出電容的等效串聯電阻,Cout 是輸出電容之和。
注意:CCM 模式反激變換器,從控制到輸出的傳函,由公式 40 可知,有一個右半平面零點,它在提升幅值的同時,帶來了90°的相位衰減,這個零點不是我們想要的,設計時應保證帶寬頻率不超過右半平面零點頻率的1/3;由公式 41 可知,如果不加斜坡補償(ma=0),當占空比超過50%時,電流環震蕩,表現為驅動大小波,即次諧波震蕩。因此,設計CCM 模式反激變換器時,需加斜坡補償。
對DCM 模式反激,控制到輸出的傳函為:

其中:

Vout1 為主路輸出直流電壓,k 為誤差放大器輸出信號到電流比較器輸入的衰減系數,m為初級電流上升斜率,ma 為斜坡補償的補償斜率,Idspeak 為給定條件下初級峰值電流。
推薦閱讀:




