【導讀】設計一個移動電源的一個關鍵設計挑戰是通過EMI測試,電子工程師經常擔心EMI測試失敗。若電路EMI測試多次失敗,這將是一場噩夢。您將不得不夜以繼日地在EMI實驗室工作來解決問題,避免產品推出延遲。
設計一個移動電源的一個關鍵設計挑戰是通過EMI測試,電子工程師經常擔心EMI測試失敗。若電路EMI測試多次失敗,這將是一場噩夢。您將不得不夜以繼日地在EMI實驗室工作來解決問題,避免產品推出延遲。對于諸如移動電源的消費類產品,設計周期短,而EMI認證限制又嚴格,因此您想添加足夠的EMI濾波器順利通過EMI測試。但您又不想增加空間,也不想在電路方面增加過多成本,這似乎很難兼顧兩者。
TIdesign低輻射EMI升壓轉換器參考設計(PMP9778)提供了這樣一個解決方案。它可以支持2.7-4.4V輸入電壓、5V/3A、9V/2A和12V/1.5A的輸出功率,且只適合移動電源應用程序。通過布置和布局的優化,此TI設計能獲得的裕量比在EN55022和CISPR22B級輻射測試中高出6分貝。讓我們來看看設計過程。
確定關鍵電流通路
EMI從電流變化(di/dt)循環的高瞬時速率開始。因此,我們應在設計之初就區分高di/dt關鍵路徑。為了實現這些目標,了解開關電源中的電流傳導路徑和信號流是重要的。
圖1所示為升壓轉換器的拓撲結構和臨界電流路徑。當S2閉合,S1打開時,交流電流流經藍色環路。當S1閉合,S2打開時,交流電流流經綠色環路。因此,電流流經輸入電容器Cin,且電感器L是一個連續電流,而電流流經S2、S1,且輸出電容器Cout是脈動電流(紅色環路)。因此,我們定義紅色環路為臨界電流路徑。此路徑具有最高的EMI能量。我們在布置期間,應盡量減少由它包圍的區域。

(圖1.升壓轉換器的臨界電流路徑)
最小化高di/dt路徑的環路面積
圖2所示為TPS61088的引腳配置。圖3所示為TPS61088臨界電流路徑的布局示例。NC引腳表示設備內部沒有連接。因此,他們可連接到PGND。從電氣角度講,將兩個NC引腳連接到PGND接地平面有利于散熱,并能降低返回路徑的阻抗。從EMI角度講,將兩個NC引腳連接到PGND接地平面使得TPS61088的VOUT和PGND平面更接近彼此。這使得輸出電容的布置變得更容易。從圖3可以看出,將一個06031-UF(或04021-UF)高頻陶瓷電容COUT_HF盡可能靠近VOUT引腳可導致高di/dt環路的面積最小。

(圖2.TPS61088引腳配置)

(圖3.TPS61088關鍵路徑布局示例)
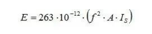
來自距接地平面10米距離的高di/di回路的最大電場強度可通過下面的公式計算:

圖4所示為使用和不使用COUT_HF的輻射EMI結果。在相同的測試條件下,輻射EMI通過COUT_HF改善了4dBuV/m。
(圖4.帶/不帶COUT_HF的輻射EMI結果)
將一個接地平面置于關鍵路徑下
高跟蹤電感導致輻射EMI差。因為磁場強度與電感成正比。將固定接地平面置于臨界跟蹤的下一層上可以解決此問題。
表1給出了不同PCB板上的給定跟蹤電感。我們可以看到,對于信號層和接地平面之間0.4mm絕緣厚度的四層PCB來講,其跟蹤電感比1.2毫米厚的2層PCB的跟蹤電感小得多。因此將距離最短的固定接地平面置于關鍵路徑是降低EMI的最有效的途徑之一。
表1.跟蹤電感(走線長度=5cm)
PCBh(mm)Wg(mm)L(nH)單層PCB----522層PCB1.2103.64層PCB0.4101.2
圖5所示為2層PCB和4層PCB的輻射EMI結果。根據相同的布局和相同的試驗條件,輻射EMI通過4層PCB可改善10dBuV/m。

(圖5.一個2層PCB和一個4層PCB的輻射EMI結果)
添加RC緩沖器
若輻射水平仍超過要求水平且布局不能再提高,則在TPS61088SW引腳添加一個RC緩沖器和電源接地有助于降低輻射EMI水平。RC緩沖器應放在盡可能接近開關節點和電源接地(圖6)的位置。它可以有效地抑制SW電壓環,這意味著在振鈴頻率條件下,輻射EMI得以改善。

(圖6.RC緩沖器的布置)
通過上述簡單而有效的優化方式,良好的EMI性能在移動電源設計中成為可能。
免責聲明:本文為轉載文章,轉載此文目的在于傳遞更多信息,版權歸原作者所有。本文所用視頻、圖片、文字如涉及作品版權問題,請電話或者郵箱聯系小編進行侵刪。





