【導讀】由于超聲波換能器的技術改進,使它們更便宜、更精確、尺寸更小,而且隨處可以買到,因此超聲波技術在流量測量中得到了廣泛的應用。先進的集成模擬電路使得超聲波換能器波形的實時捕獲和處理更加容易,從而可以獲得準確的TOF信息。
由于超聲波換能器的技術改進,使它們更便宜、更精確、尺寸更小,而且隨處可以買到,因此超聲波技術在流量測量中得到了廣泛的應用。先進的集成模擬電路使得超聲波換能器波形的實時捕獲和處理更加容易,從而可以獲得準確的TOF信息。此外,超聲波流量計更精確,尺寸更小,而且沒有任何活動部件,使其成為制造商更換機械式流量計的絕佳選擇。然而,制造商仍然要仔細了解管道設計和換能器安裝定位,以確保超聲波技術的所有優點在流量測量中得到充分利用。
在工業市場上,半導體芯片組在機械設備向機電或純電子設備的轉變中發揮著巨大作用。每個細分市場都可分解為許多應用,芯片制造商會針對每個應用而設計特定的產品。
任何應用領域的技術進步通常都包括一些較小的進步,這些技術進步要么是連續的,要么是同時發生。例如,應用程序的自動化通常需要感測一個或多個參數,然后進行處理,最終將導致控制和/或通信。技術先進的傳感器可提高一些參數規格,例如更高的性能、更小的尺寸、更低的功耗和成本,以及更高的整體運行效率。在處理、控制類型和與外界通信的類似技術改進將進一步提高這些參數規格。
為了使電網更高效、更堅固和更安全,適應現代化需求,這方面的努力將使電子設備使用量的大幅增加,從而為創新、增加功能,以及減小尺寸和成本創造了機會。節能運動要求將傳統電網與分布式電網融合,形成互聯電網。智能儀表是電力和能源領域很不可或缺的部分,這一細分領域的全球半導體價值每年超過20億美元。智能儀表進一步分為電表、水表、燃氣表和供暖儀表。
超聲波或超聲技術已在一些民用、醫療和軍事領域使用了100多年。幾乎每個人在其一生中都會用到醫療超聲波技術。然而,其最近的應用案例是在工業和汽車領域實現了自動化。我們很驚訝地看到這項技術在一系列真正多樣化的應用中已經占據一席之地。超聲波技術的無創(無腐蝕性)和非接觸式特性使其成為醫療、制藥、軍事和工廠應用的理想選擇。
在工業和汽車市場,可以發現超聲波技術用于距離測量、占用檢測、水平檢測、成分分析、流速測量、停車輔助、著陸輔助和后備箱開啟輔助等。超聲波傳感器也稱為超聲波換能器,可在人類聽不到的頻率之外工作,其工作頻率在20千赫到幾兆赫茲之間。
大多數超聲換能器使用壓電材料制造,當施加電脈沖時,就產生機械振動或超聲波。一些換能器還能夠將機械振動轉換回電能。換能器大致分為三種類型:
•發送器將電信號轉換為超聲波。
•接收器將超聲波轉換為電信號。
•收發器可以發送和接收超聲波。
對接收到的電信號進行后加工處理,就可以得到適合工業或汽車應用的相關的若干分量。其中最常見和最重要的一個分量就是超聲波飛行時間(TOF),它是指超聲波從傳感器發射到目標物體,然后再從物體反射回傳感器的往返時間估計。這是在智能儀表中使用超聲波技術的基本原理,用來測量用水、煤氣或供暖(無論是侵入式還是非侵入式)的流量,并將消費數據呈現給消費者以方便計費。
流量測量是對液體或氣體流量的量化(體積或速度),測量單位類似于升/分鐘(或秒或小時)或平方米/秒。流量計的范圍比較廣泛,從家庭用的簡單公用儀表(煤氣/水/供暖),到有害液體或氣體(石油、采礦、廢水處理、油漆和化學品等)的工業儀表或混合器。
在結構上,流量計包括傳感器單元、測量單元和控制/通信單元,這每一個單元又可進一步分為機械或電子。圖1比較了構成傳感器單元的不同類型的流量計傳感技術。超聲波類型的流量計具有多個優點。

圖1:液體或氣體流量傳感方法的比較
采用TOF或超聲波的流量計通過計算發射和接收的超聲信號的時間差(傳播延遲)來測量流量。為了將其應用于流量測量,設計人員使用一對相同的收發器型換能器,分別在上游和下游方向上激勵它們。當沿著與流體流動一致的方向傳播時,超聲波傳播得較快,而在與流體流動相反的方向上,超聲波傳播得較慢。因此,需要至少一對換能器,但有些拓撲結構使用更多換能器。
圖2示出了超聲波檢測流量的典型概念,可選擇換能器在管道中的放置位置。
超聲波傳感器的選擇取決于需要流速測量的介質類型。通常,液體傳感使用頻譜中較高頻率的傳感器(> 1 MHz),而氣體介質使用頻譜低端(<500 kHz)的傳感器。此外,用于流量測量的超聲波技術要求任何兩個換能器之間要有一條直接路徑,這需要對容納換能器的流體管道進行仔細的機械構造設計。超聲波技術在有氣泡的情況下不起作用,因為氣泡可能導致超聲信號的顯著衰減。

圖2:流量計的超聲波傳感和管道內安裝位置的常見拓撲結構示例
圖3示出了一種通用的管道設計,換能器放置在底部,有反射材料以確保超聲波信號能夠在換能器(圖中的XDCR1和XDCR2)之間傳播。

圖3:安裝有一對換能器的通用流量管

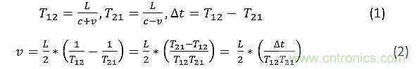
其中Δt是TOF,c是在管道內介質中傳播的超聲波信號的速度,v是流速,L是管道的傳播長度,T12是上游的傳播時間,T21是下游的傳播時間。
有幾種方法可以確定TOF信息,但所有方法都需要能夠處理換能器的輸出。圖4顯示了一種典型輸出。

圖4:超聲換能器受到電激勵時的典型響應
對這一波形的處理提供了求解方程1和2所需的信息。有幾種方法可以處理波形,其中包括時間-數字轉換(TDC)、過零檢測和波形捕獲等。每種方法都各有利弊。
芯片供應商使用各種架構來解決超聲波流量測量問題。有些廠商使用分立模擬元件,后面跟著數字處理器。其他廠商則試圖將模擬元件集成到數字處理器中以形成單芯片方案。在波形捕獲方法中,使用快速模擬電路捕獲整個超聲信號,再使用模數轉換器將模擬信號轉換為數字信號,然后數字信號處理算法即可獲得TOF信息。
芯片供應商使用各種架構來解決超聲波流量測量問題。有些廠商使用分立模擬元件,后面跟著數字處理器。其他廠商則試圖將模擬元件集成到數字處理器中以形成單芯片方案。在波形捕獲方法中,使用快速模擬電路捕獲整個超聲信號,再使用模數轉換器將模擬信號轉換為數字信號,然后數字信號處理算法即可獲得TOF信息。
由于超聲波換能器的技術改進,使它們更便宜、更精確、尺寸更小,而且隨處可見,因此超聲波技術在流量測量中得到了廣泛的應用。先進的集成模擬電路使得超聲波換能器波形的實時捕獲和處理更加容易,從而可以獲得準確的TOF信息。此外,超聲波流量計更精確,尺寸更小,而且沒有任何活動部件,使其成為制造商更換機械式流量計的絕佳選擇。然而,制造商仍然要仔細了解管道設計和換能器安裝定位,以確保超聲波技術的所有優點在流量測量中得到充分利用。




